🇳🇴 🇬🇧 🇩🇪 🇨🇿 🇫🇮

Meteor, poloha: Sauda 2015-12-25 06:45:46 UTC

Soubor KML  |  InteraktivnĂ­ mapa

Mapa zobrazuje dráhy meteoru. Světlejší čáry ukazují směry od pozorovacích stanic při objevení se meteoru a tmavší čáry, kde byl naposledy viděn. Modrá šipka značí viditelnou dráhu meteoru.

static map
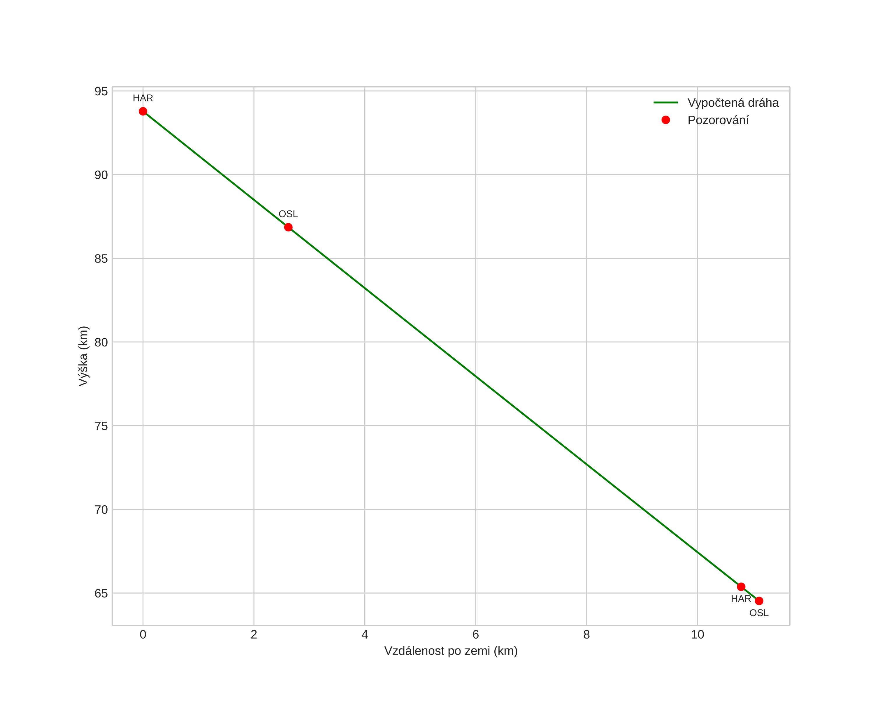
height profile
Atmosférická dráha meteoru:
Počáteční výška: 93,8 km
Konečná výška: 64,5 km
Počáteční poloha: 59,620N 6,486E
Konečná poloha: 59,521N 6,455E
Směr: 189,0°
Sklon: 69,2°
VstupnĂ­ rychlost: 28,1 km/s
Rektascenze radiantu: 14:34 (218,6°)
Deklinace radiantu: 80,5°
MeteorickĂ˝ roj: Ursidy
Elementy dráhy meteoroidu:
Vzdálenost v periheliu: 0,923 AU
Excentricita: 0,586
Sklon dráhy: 41,7°
Délka vzestupného uzlu: 272,9°
Argument perihelia: 213,4°
Střední anomálie: 352,6°
Epocha: 2015 DEC 25 06:45:46
orbit plot

NeinteraktivnĂ­ graf | InteraktivnĂ­ graf

position vs time
speed and acceleration