🇳🇴 🇬🇧 🇩🇪 🇨🇿 🇫🇮

Meteor, poloha: Fedje 2015-12-25 17:12:21 UTC

Soubor KML  |  InteraktivnĂ­ mapa

Mapa zobrazuje dráhy meteoru. Světlejší čáry ukazují směry od pozorovacích stanic při objevení se meteoru a tmavší čáry, kde byl naposledy viděn. Modrá šipka značí viditelnou dráhu meteoru.

static map
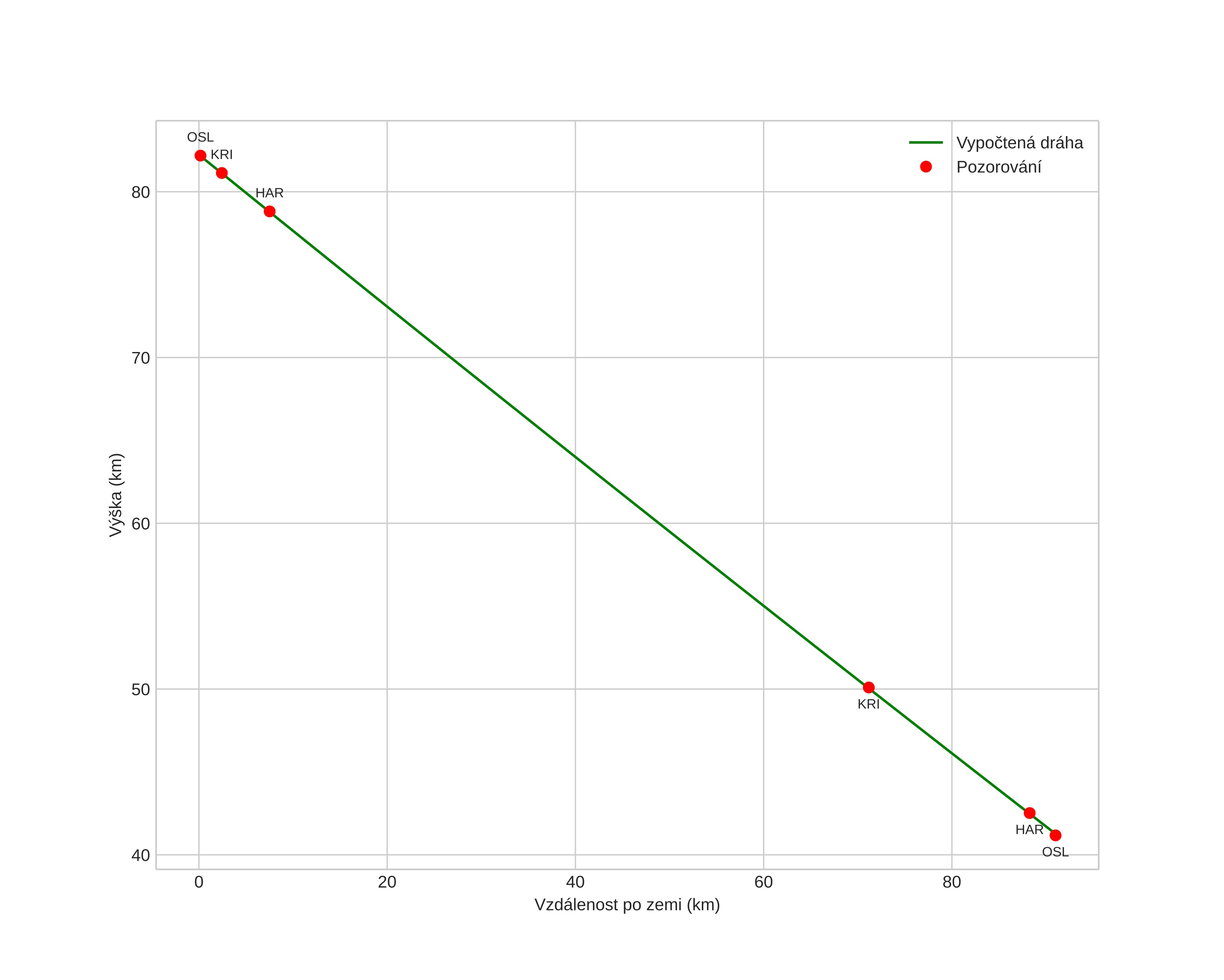
height profile
Atmosférická dráha meteoru:
Počáteční výška: 82,2 km
Konečná výška: 41,2 km
Počáteční poloha: 60,352N 5,948E
Konečná poloha: 60,248N 4,309E
Směr: 263,4°
Sklon: 24,2°
VstupnĂ­ rychlost: 22,3 km/s
Rektascenze radiantu: 05:34 (83,5°)
Deklinace radiantu: 19,8°
MeteorickĂ˝ roj: sporadickĂ˝
Elementy dráhy meteoroidu:
Vzdálenost v periheliu: 0,700 AU
Excentricita: 0,738
Sklon dráhy: 2,0°
Délka vzestupného uzlu: 93,4°
Argument perihelia: 71,2°
Střední anomálie: 350,7°
Epocha: 2015 DEC 25 17:12:21
orbit plot

NeinteraktivnĂ­ graf | InteraktivnĂ­ graf

position vs time
speed and acceleration