🇳🇴 🇬🇧 🇩🇪 🇨🇿 🇫🇮

Meteor, poloha: Hagfors 2015-12-25 18:09:13 UTC

Soubor KML  |  InteraktivnĂ­ mapa

Mapa zobrazuje dráhy meteoru. Světlejší čáry ukazují směry od pozorovacích stanic při objevení se meteoru a tmavší čáry, kde byl naposledy viděn. Modrá šipka značí viditelnou dráhu meteoru.

static map
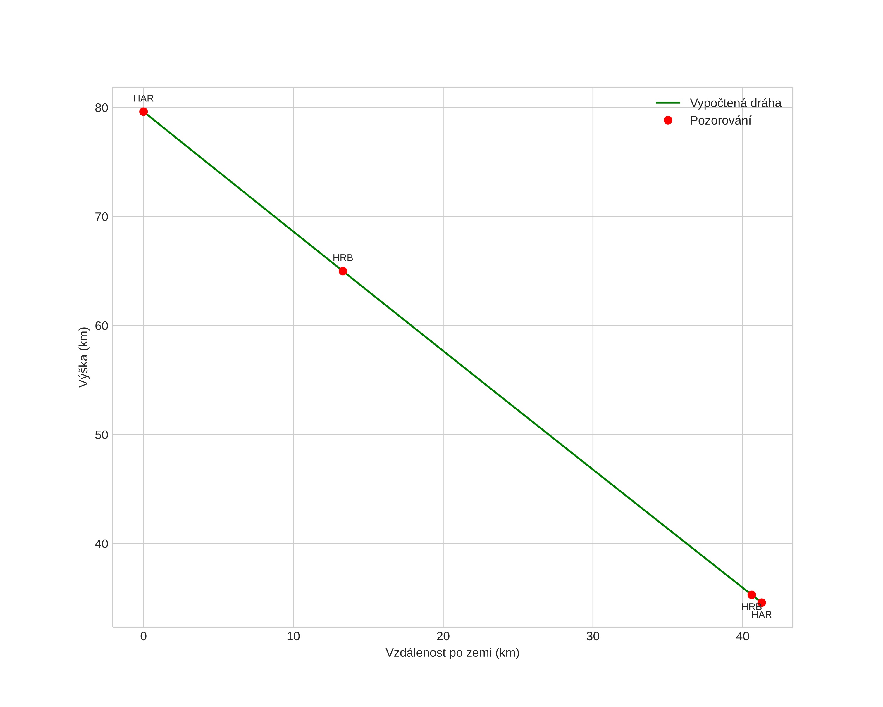
height profile
Atmosférická dráha meteoru:
Počáteční výška: 79,6 km
Konečná výška: 34,6 km
Počáteční poloha: 59,814N 14,144E
Konečná poloha: 60,050N 13,572E
Směr: 309,7°
Sklon: 47,5°
VstupnĂ­ rychlost: 21,1 km/s
Rektascenze radiantu: 03:44 (56,0°)
Deklinace radiantu: 21,6°
MeteorickĂ˝ roj: sporadickĂ˝
Elementy dráhy meteoroidu:
Vzdálenost v periheliu: 0,871 AU
Excentricita: 1,045
Sklon dráhy: 0,8°
Délka vzestupného uzlu: 273,3°
Argument perihelia: 219,3°
Střední anomálie: -0,3°
Epocha: 2015 DEC 25 18:09:13
orbit plot

NeinteraktivnĂ­ graf | InteraktivnĂ­ graf

position vs time
speed and acceleration