🇳🇴 🇬🇧 🇩🇪 🇨🇿 🇫🇮

Meteor, poloha: Hol 2015-12-25 23:08:07 UTC

Soubor KML  |  InteraktivnĂ­ mapa

Mapa zobrazuje dráhy meteoru. Světlejší čáry ukazují směry od pozorovacích stanic při objevení se meteoru a tmavší čáry, kde byl naposledy viděn. Modrá šipka značí viditelnou dráhu meteoru.

static map
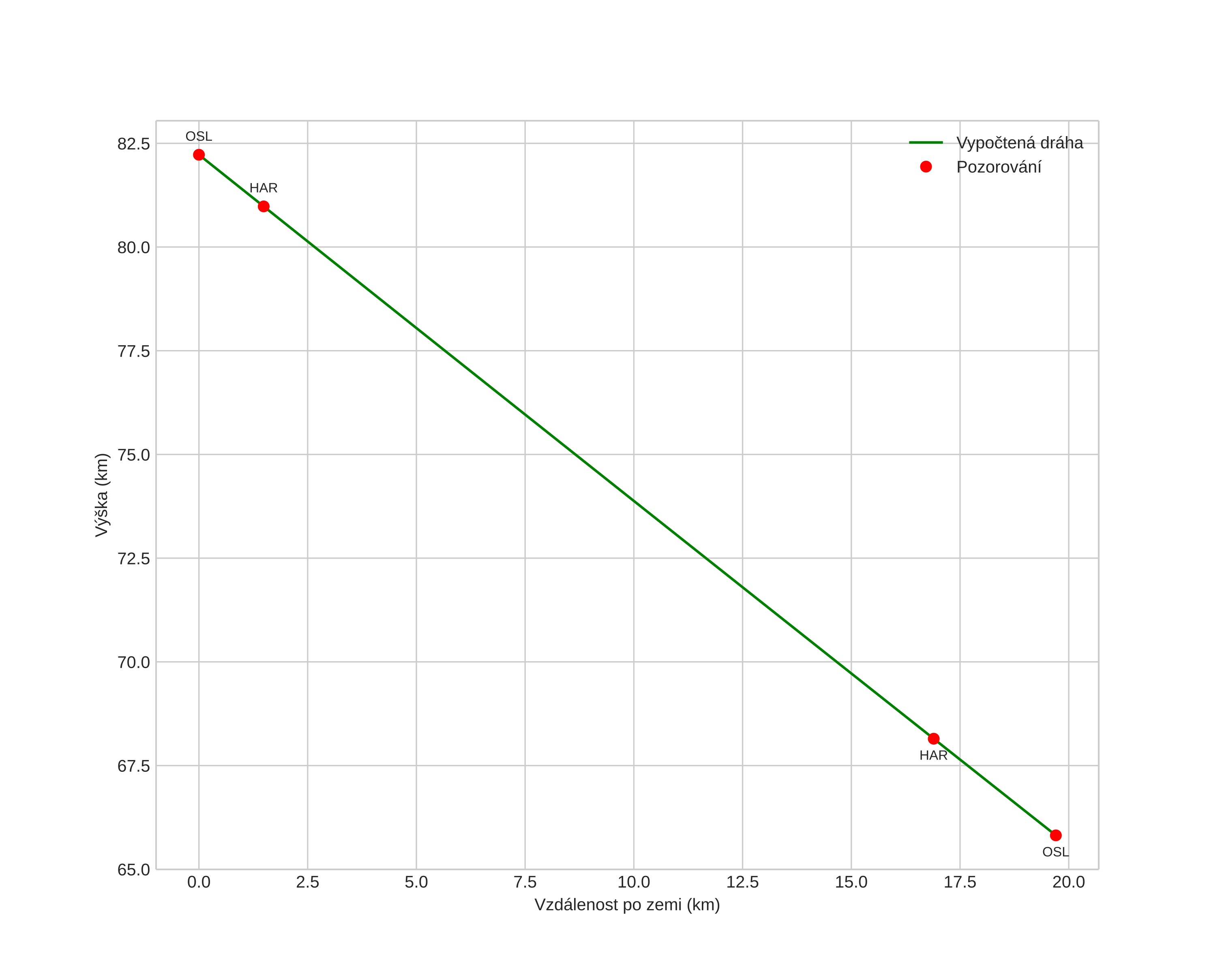
height profile
Atmosférická dráha meteoru:
Počáteční výška: 82,2 km
Konečná výška: 65,8 km
Počáteční poloha: 61,040N 8,087E
Konečná poloha: 60,884N 8,263E
Směr: 151,0°
Sklon: 39,8°
VstupnĂ­ rychlost: 15,8 km/s
Rektascenze radiantu: 21:02 (315,7°)
Deklinace radiantu: 53,7°
MeteorickĂ˝ roj: sporadickĂ˝
Elementy dráhy meteoroidu:
Vzdálenost v periheliu: 0,983 AU
Excentricita: 0,479
Sklon dráhy: 16,3°
Délka vzestupného uzlu: 273,6°
Argument perihelia: 175,7°
Střední anomálie: 1,3°
Epocha: 2015 DEC 25 23:08:07
orbit plot

NeinteraktivnĂ­ graf | InteraktivnĂ­ graf

position vs time
speed and acceleration