🇳🇴 🇬🇧 🇩🇪 🇨🇿 🇫🇮

Meteor, poloha: Skive 2015-12-27 21:03:22 UTC

Soubor KML  |  InteraktivnĂ­ mapa

Mapa zobrazuje dráhy meteoru. Světlejší čáry ukazují směry od pozorovacích stanic při objevení se meteoru a tmavší čáry, kde byl naposledy viděn. Modrá šipka značí viditelnou dráhu meteoru.

static map
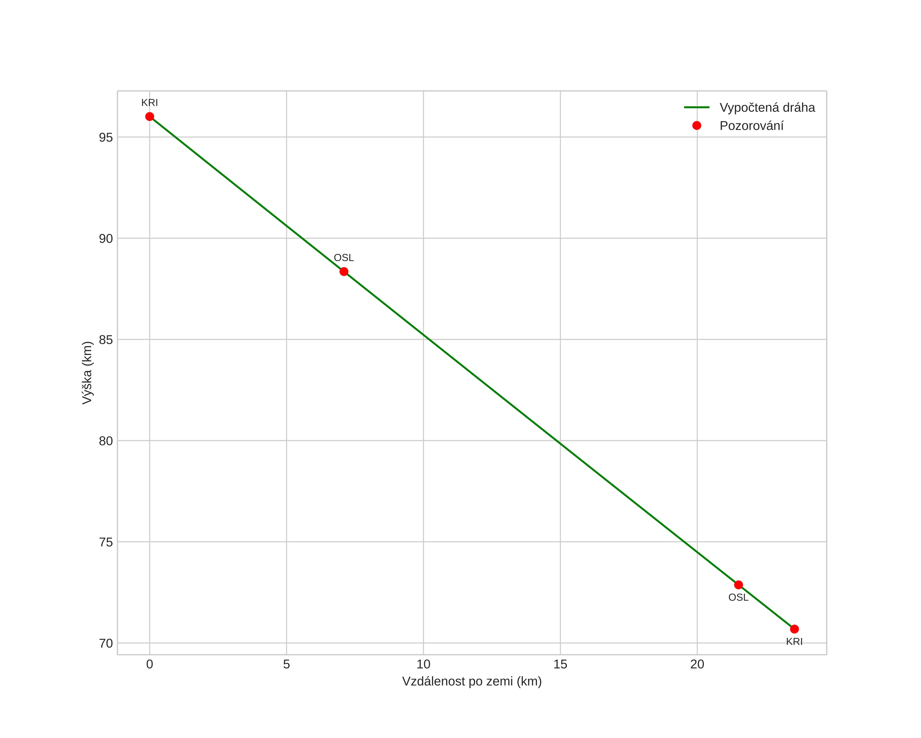
height profile
Atmosférická dráha meteoru:
Počáteční výška: 96,0 km
Konečná výška: 70,7 km
Počáteční poloha: 56,631N 8,992E
Konečná poloha: 56,419N 8,980E
Směr: 181,8°
Sklon: 47,1°
VstupnĂ­ rychlost: 31,1 km/s
Rektascenze radiantu: 15:47 (236,9°)
Deklinace radiantu: 79,0°
MeteorickĂ˝ roj: sporadickĂ˝
Elementy dráhy meteoroidu:
Vzdálenost v periheliu: 0,946 AU
Excentricita: 0,802
Sklon dráhy: 45,0°
Délka vzestupného uzlu: 275,6°
Argument perihelia: 203,9°
Střední anomálie: 358,4°
Epocha: 2015 DEC 27 21:03:22
orbit plot

NeinteraktivnĂ­ graf | InteraktivnĂ­ graf

position vs time
speed and acceleration