🇳🇴 🇬🇧 🇩🇪 🇨🇿 🇫🇮

Meteor, poloha: Mandal 2016-01-17 00:26:14 UTC

Soubor KML  |  InteraktivnĂ­ mapa

Mapa zobrazuje dráhy meteoru. Světlejší čáry ukazují směry od pozorovacích stanic při objevení se meteoru a tmavší čáry, kde byl naposledy viděn. Modrá šipka značí viditelnou dráhu meteoru.

static map
height profile
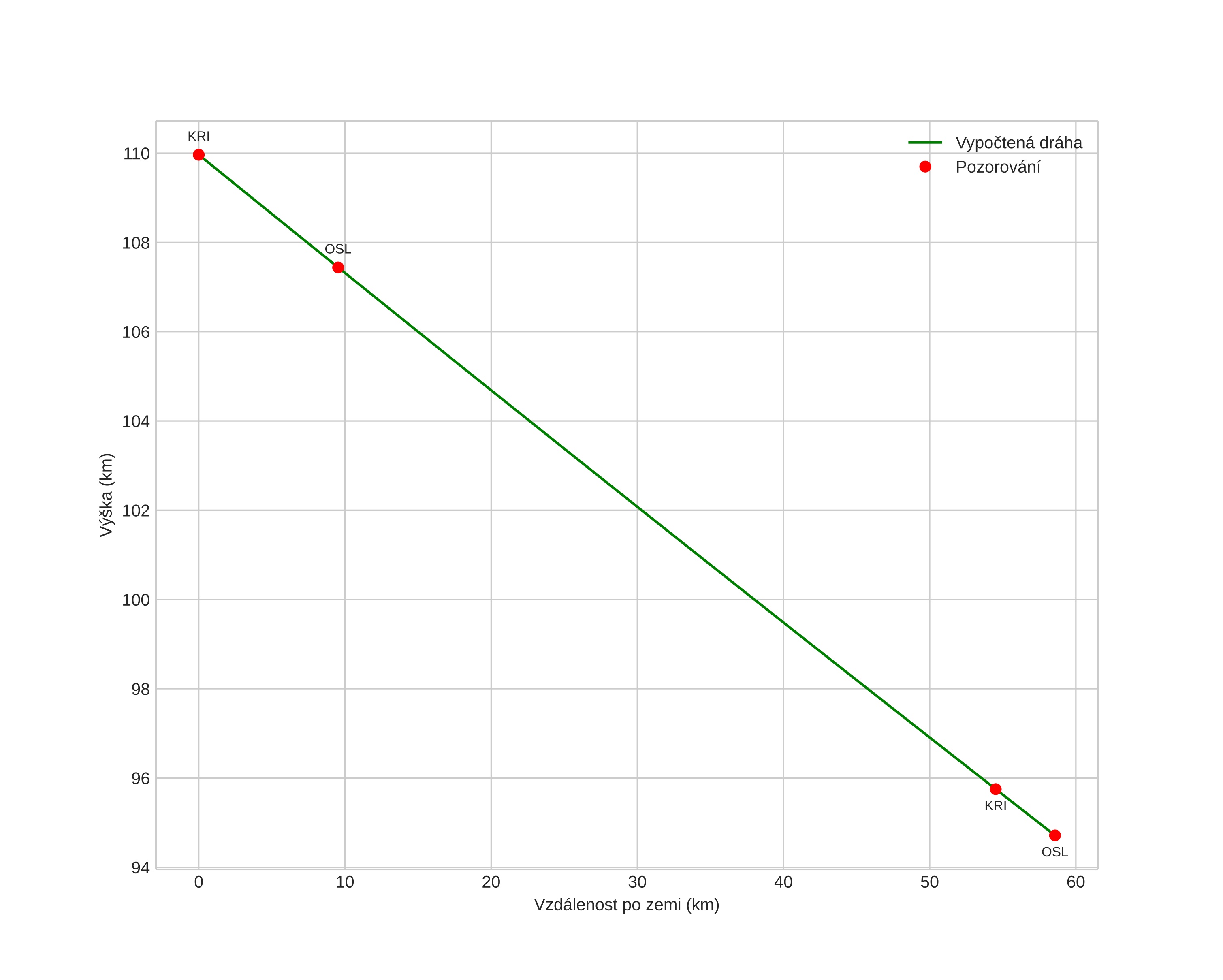
Atmosférická dráha meteoru:
Počáteční výška: 110,0 km
Konečná výška: 94,7 km
Počáteční poloha: 57,823N 8,239E
Konečná poloha: 58,209N 7,562E
Směr: 317,4°
Sklon: 14,6°
VstupnĂ­ rychlost: 63,1 km/s
Rektascenze radiantu: 11:28 (172,1°)
Deklinace radiantu: -10,1°
MeteorickĂ˝ roj: sporadickĂ˝
Elementy dráhy meteoroidu:
Vzdálenost v periheliu: 0,394 AU
Excentricita: 0,887
Sklon dráhy: 149,4°
Délka vzestupného uzlu: 116,1°
Argument perihelia: 106,0°
Střední anomálie: 353,9°
Epocha: 2016 JAN 17 00:26:14
orbit plot

NeinteraktivnĂ­ graf | InteraktivnĂ­ graf

position vs time
speed and acceleration