🇳🇴 🇬🇧 🇩🇪 🇨🇿 🇫🇮

Meteor, poloha: Geilo 2016-01-17 03:37:34 UTC

Soubor KML  |  InteraktivnĂ­ mapa

Mapa zobrazuje dráhy meteoru. Světlejší čáry ukazují směry od pozorovacích stanic při objevení se meteoru a tmavší čáry, kde byl naposledy viděn. Modrá šipka značí viditelnou dráhu meteoru.

static map
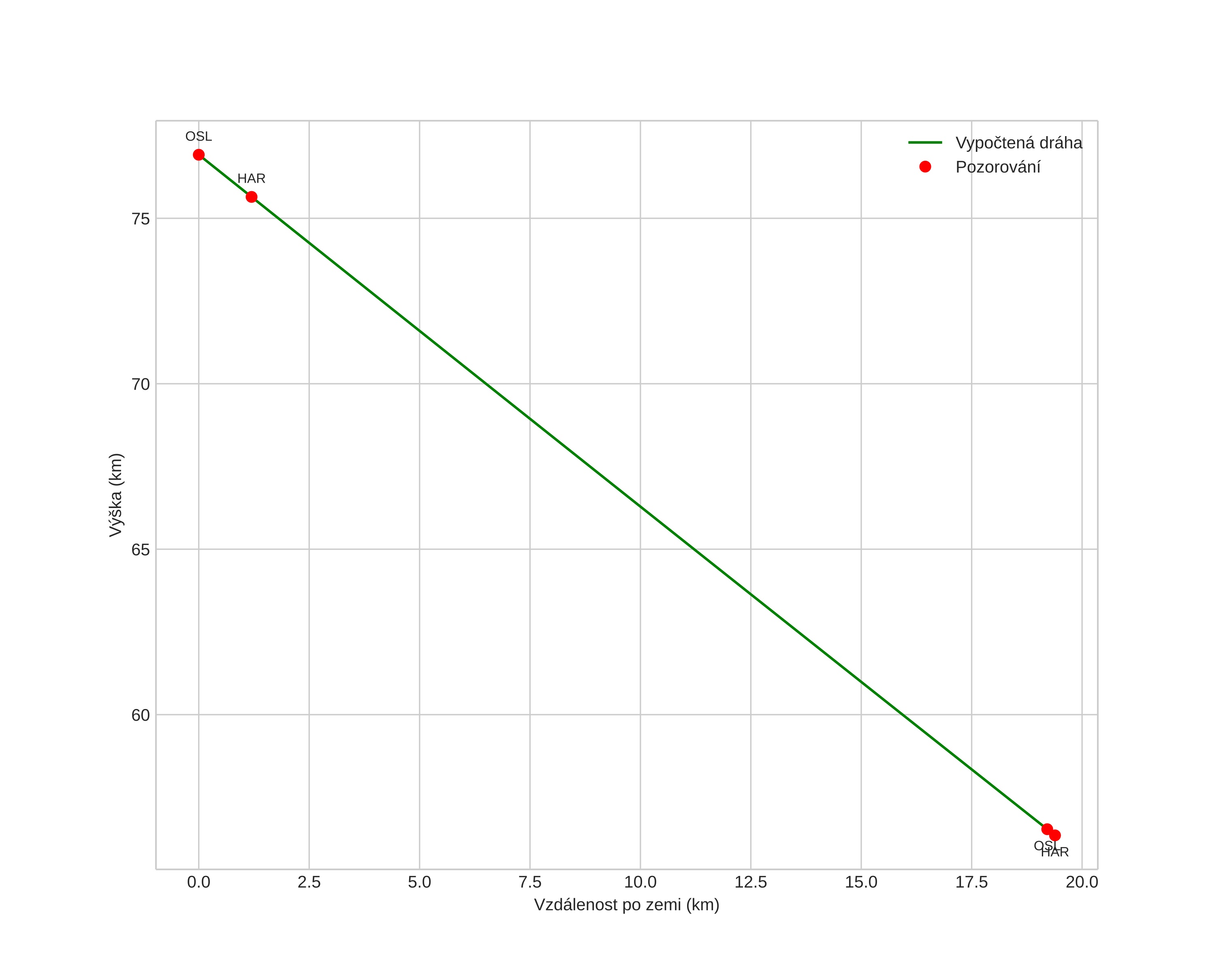
height profile
Atmosférická dráha meteoru:
Počáteční výška: 76,9 km
Konečná výška: 56,4 km
Počáteční poloha: 60,483N 7,488E
Konečná poloha: 60,502N 7,840E
Směr: 83,4°
Sklon: 46,6°
VstupnĂ­ rychlost: 22,9 km/s
Rektascenze radiantu: 07:48 (117,1°)
Deklinace radiantu: 33,6°
MeteorickĂ˝ roj: sporadickĂ˝
Elementy dráhy meteoroidu:
Vzdálenost v periheliu: 0,647 AU
Excentricita: 0,698
Sklon dráhy: 7,8°
Délka vzestupného uzlu: 296,2°
Argument perihelia: 260,4°
Střední anomálie: 346,1°
Epocha: 2016 JAN 17 03:37:34
orbit plot

NeinteraktivnĂ­ graf | InteraktivnĂ­ graf

position vs time
speed and acceleration