🇳🇴 🇬🇧 🇩🇪 🇨🇿 🇫🇮

Meteor, poloha: Dals LĂĄnged 2016-01-19 19:11:24 UTC

Soubor KML  |  InteraktivnĂ­ mapa

Mapa zobrazuje dráhy meteoru. Světlejší čáry ukazují směry od pozorovacích stanic při objevení se meteoru a tmavší čáry, kde byl naposledy viděn. Modrá šipka značí viditelnou dráhu meteoru.

static map
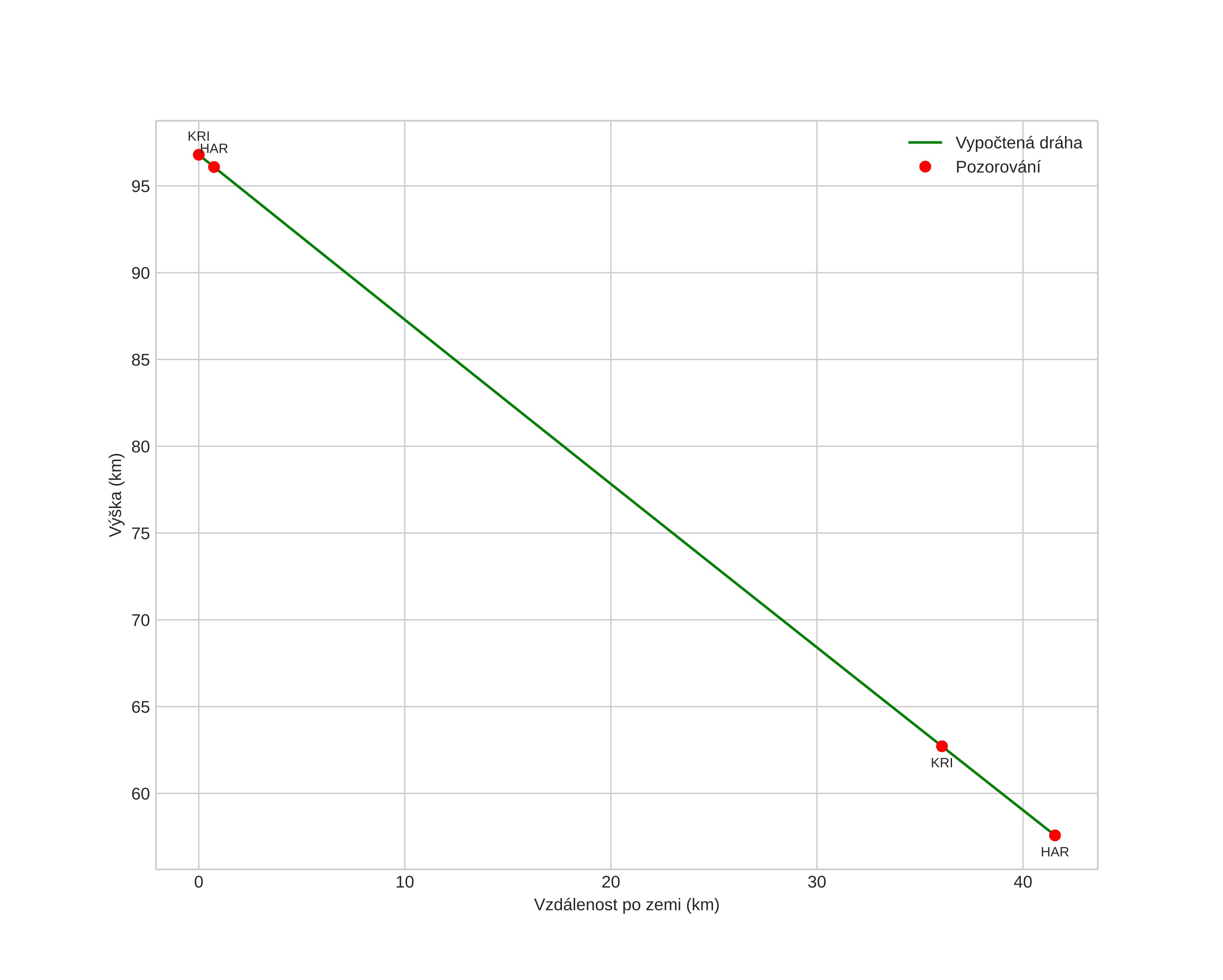
height profile
Atmosférická dráha meteoru:
Počáteční výška: 96,8 km
Konečná výška: 57,6 km
Počáteční poloha: 59,224N 12,964E
Konečná poloha: 58,946N 12,478E
Směr: 222,1°
Sklon: 43,3°
VstupnĂ­ rychlost: 39,6 km/s
Rektascenze radiantu: 10:53 (163,5°)
Deklinace radiantu: 59,6°
MeteorickĂ˝ roj: sporadickĂ˝
Elementy dráhy meteoroidu:
Vzdálenost v periheliu: 0,683 AU
Excentricita: 1,074
Sklon dráhy: 50,6°
Délka vzestupného uzlu: 298,9°
Argument perihelia: 245,9°
Střední anomálie: -1,2°
Epocha: 2016 JAN 19 19:11:24
orbit plot

NeinteraktivnĂ­ graf | InteraktivnĂ­ graf

position vs time
speed and acceleration