🇳🇴 🇬🇧 🇩🇪 🇨🇿 🇫🇮

Meteor, poloha: Färgelanda 2016-01-20 00:32:30 UTC

Soubor KML  |  InteraktivnĂ­ mapa

Mapa zobrazuje dráhy meteoru. Světlejší čáry ukazují směry od pozorovacích stanic při objevení se meteoru a tmavší čáry, kde byl naposledy viděn. Modrá šipka značí viditelnou dráhu meteoru.

static map
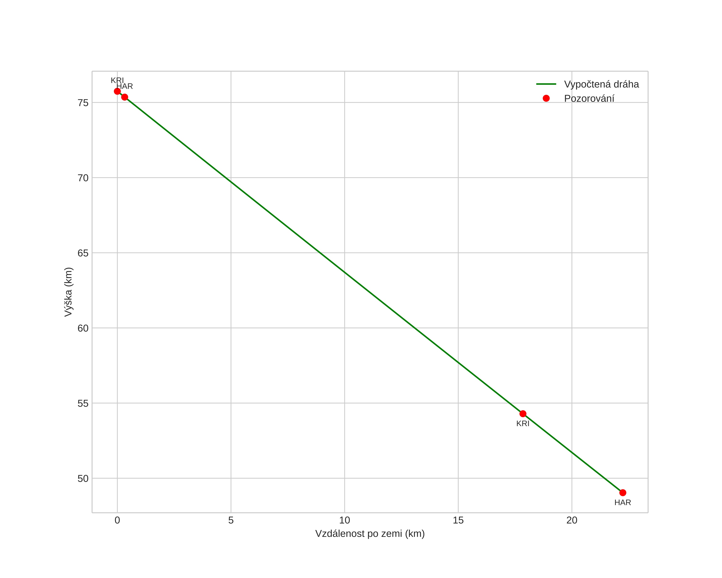
height profile
Atmosférická dráha meteoru:
Počáteční výška: 75,7 km
Konečná výška: 49,0 km
Počáteční poloha: 58,546N 11,712E
Konečná poloha: 58,699N 11,959E
Směr: 39,9°
Sklon: 50,2°
VstupnĂ­ rychlost: 15,7 km/s
Rektascenze radiantu: 07:12 (108,2°)
Deklinace radiantu: 16,7°
MeteorickĂ˝ roj: sporadickĂ˝
Elementy dráhy meteoroidu:
Vzdálenost v periheliu: 0,810 AU
Excentricita: 0,425
Sklon dráhy: 1,9°
Délka vzestupného uzlu: 119,2°
Argument perihelia: 65,9°
Střední anomálie: 332,4°
Epocha: 2016 JAN 20 00:32:30
orbit plot

NeinteraktivnĂ­ graf | InteraktivnĂ­ graf

position vs time
speed and acceleration