🇳🇴 🇬🇧 🇩🇪 🇨🇿 🇫🇮

Meteor, poloha: Arendal 2016-01-20 17:44:04 UTC

Soubor KML  |  InteraktivnĂ­ mapa

Mapa zobrazuje dráhy meteoru. Světlejší čáry ukazují směry od pozorovacích stanic při objevení se meteoru a tmavší čáry, kde byl naposledy viděn. Modrá šipka značí viditelnou dráhu meteoru.

static map
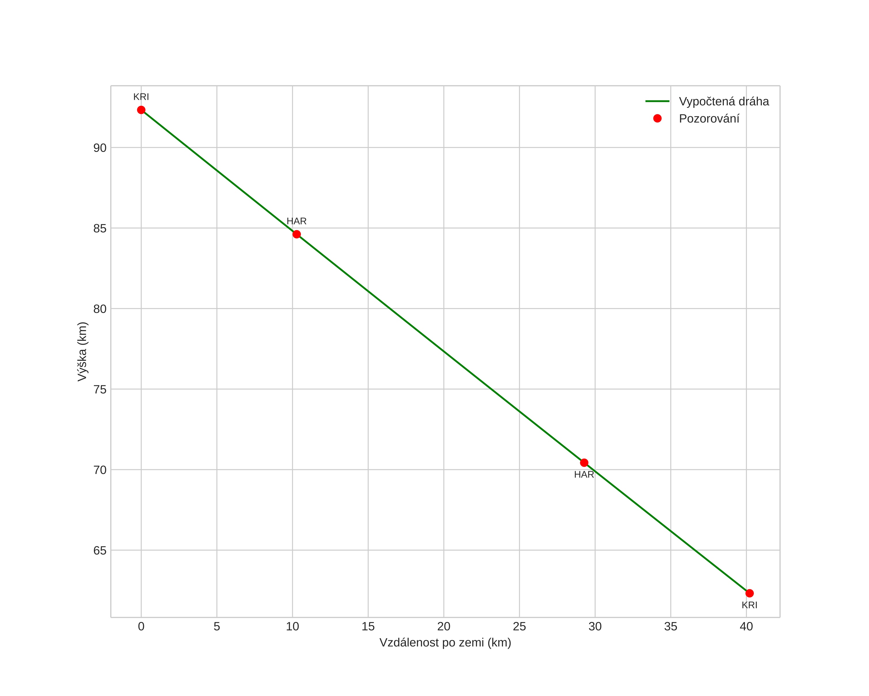
height profile
Atmosférická dráha meteoru:
Počáteční výška: 92,3 km
Konečná výška: 62,3 km
Počáteční poloha: 58,388N 9,592E
Konečná poloha: 58,181N 9,028E
Směr: 235,3°
Sklon: 36,7°
VstupnĂ­ rychlost: 27,2 km/s
Rektascenze radiantu: 08:55 (133,8°)
Deklinace radiantu: 46,8°
MeteorickĂ˝ roj: sporadickĂ˝
Elementy dráhy meteoroidu:
Vzdálenost v periheliu: 0,615 AU
Excentricita: 0,762
Sklon dráhy: 21,7°
Délka vzestupného uzlu: 299,9°
Argument perihelia: 262,4°
Střední anomálie: 349,8°
Epocha: 2016 JAN 20 17:44:04
orbit plot

NeinteraktivnĂ­ graf | InteraktivnĂ­ graf

position vs time
speed and acceleration