🇳🇴 🇬🇧 🇩🇪 🇨🇿 🇫🇮

Meteor, poloha: Måløy 2016-01-21 01:42:45 UTC

Soubor KML  |  InteraktivnĂ­ mapa

Mapa zobrazuje dráhy meteoru. Světlejší čáry ukazují směry od pozorovacích stanic při objevení se meteoru a tmavší čáry, kde byl naposledy viděn. Modrá šipka značí viditelnou dráhu meteoru.

static map
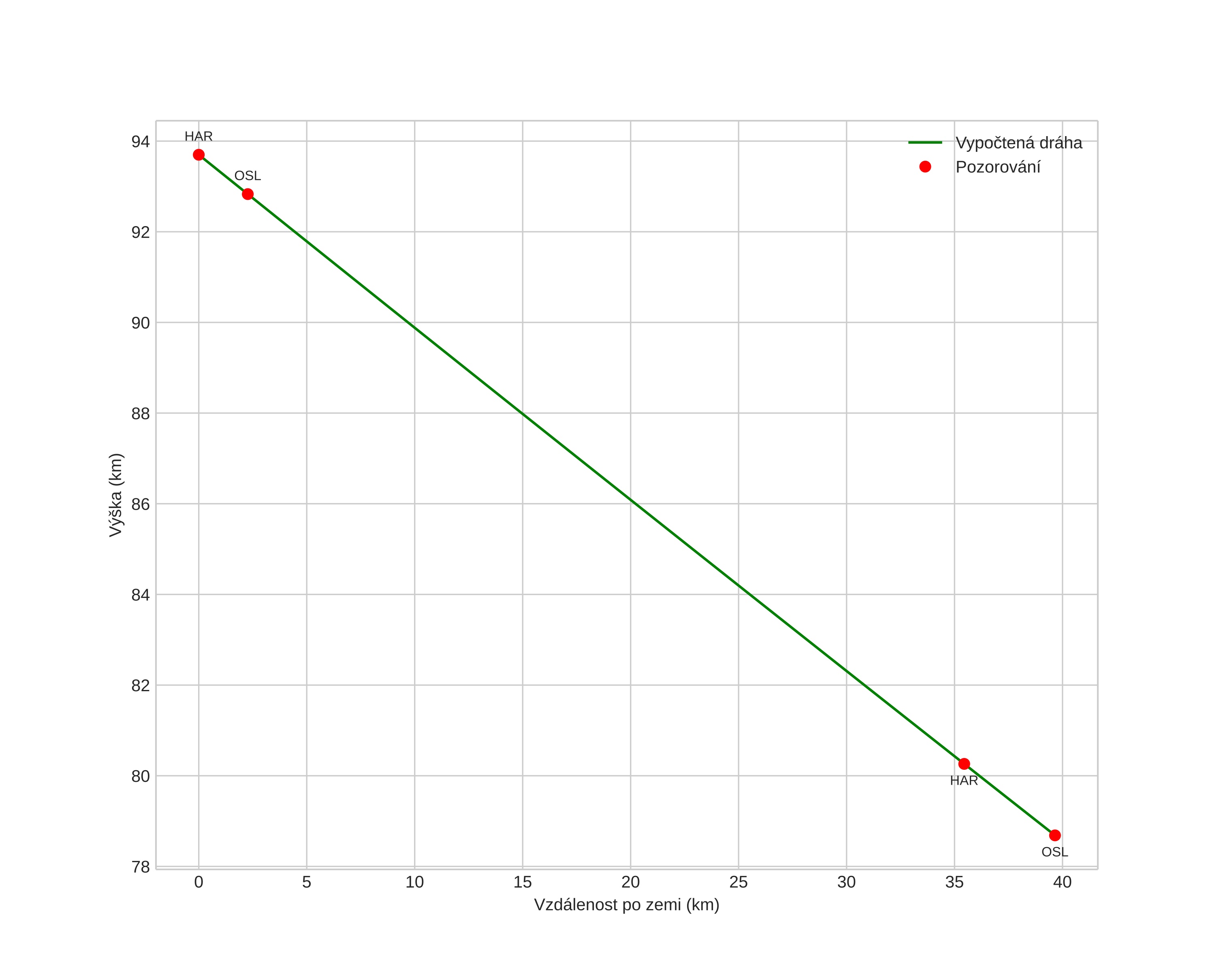
height profile
Atmosférická dráha meteoru:
Počáteční výška: 93,7 km
Konečná výška: 78,7 km
Počáteční poloha: 62,161N 5,963E
Konečná poloha: 62,125N 5,204E
Směr: 264,6°
Sklon: 20,7°
VstupnĂ­ rychlost: 55,8 km/s
Rektascenze radiantu: 15:45 (236,3°)
Deklinace radiantu: 20,1°
MeteorickĂ˝ roj: sporadickĂ˝
Elementy dráhy meteoroidu:
Vzdálenost v periheliu: 0,835 AU
Excentricita: 0,661
Sklon dráhy: 106,6°
Délka vzestupného uzlu: 300,2°
Argument perihelia: 128,2°
Střední anomálie: 8,9°
Epocha: 2016 JAN 21 01:42:45
orbit plot

NeinteraktivnĂ­ graf | InteraktivnĂ­ graf

position vs time
speed and acceleration