🇳🇴 🇬🇧 🇩🇪 🇨🇿 🇫🇮

Meteor, poloha: Sogndalsfjøra 2016-01-21 04:22:02 UTC

Soubor KML  |  InteraktivnĂ­ mapa

Mapa zobrazuje dráhy meteoru. Světlejší čáry ukazují směry od pozorovacích stanic při objevení se meteoru a tmavší čáry, kde byl naposledy viděn. Modrá šipka značí viditelnou dráhu meteoru.

static map
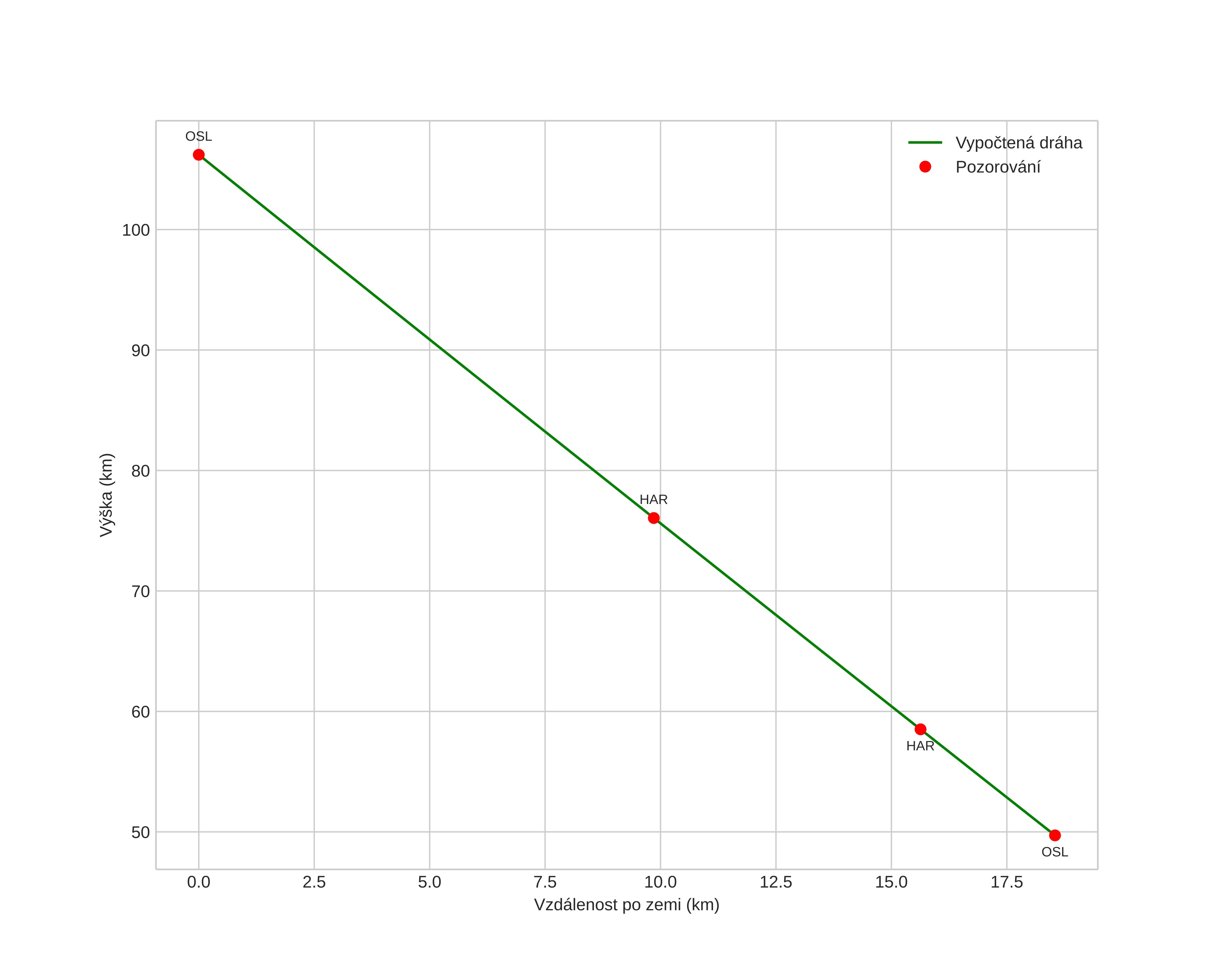
height profile
Atmosférická dráha meteoru:
Počáteční výška: 106,2 km
Konečná výška: 49,7 km
Počáteční poloha: 61,257N 7,422E
Konečná poloha: 61,174N 7,122E
Směr: 240,1°
Sklon: 71,8°
VstupnĂ­ rychlost: 35,9 km/s
Rektascenze radiantu: 15:32 (233,1°)
Deklinace radiantu: 65,3°
MeteorickĂ˝ roj: sporadickĂ˝
Elementy dráhy meteoroidu:
Vzdálenost v periheliu: 0,963 AU
Excentricita: 0,871
Sklon dráhy: 54,1°
Délka vzestupného uzlu: 300,3°
Argument perihelia: 197,4°
Střední anomálie: 359,4°
Epocha: 2016 JAN 21 04:22:02
orbit plot

NeinteraktivnĂ­ graf | InteraktivnĂ­ graf

position vs time
speed and acceleration