🇳🇴 🇬🇧 🇩🇪 🇨🇿 🇫🇮

Meteor, poloha: Tingvatn 2016-01-22 01:23:15 UTC

Soubor KML  |  InteraktivnĂ­ mapa

Mapa zobrazuje dráhy meteoru. Světlejší čáry ukazují směry od pozorovacích stanic při objevení se meteoru a tmavší čáry, kde byl naposledy viděn. Modrá šipka značí viditelnou dráhu meteoru.

static map
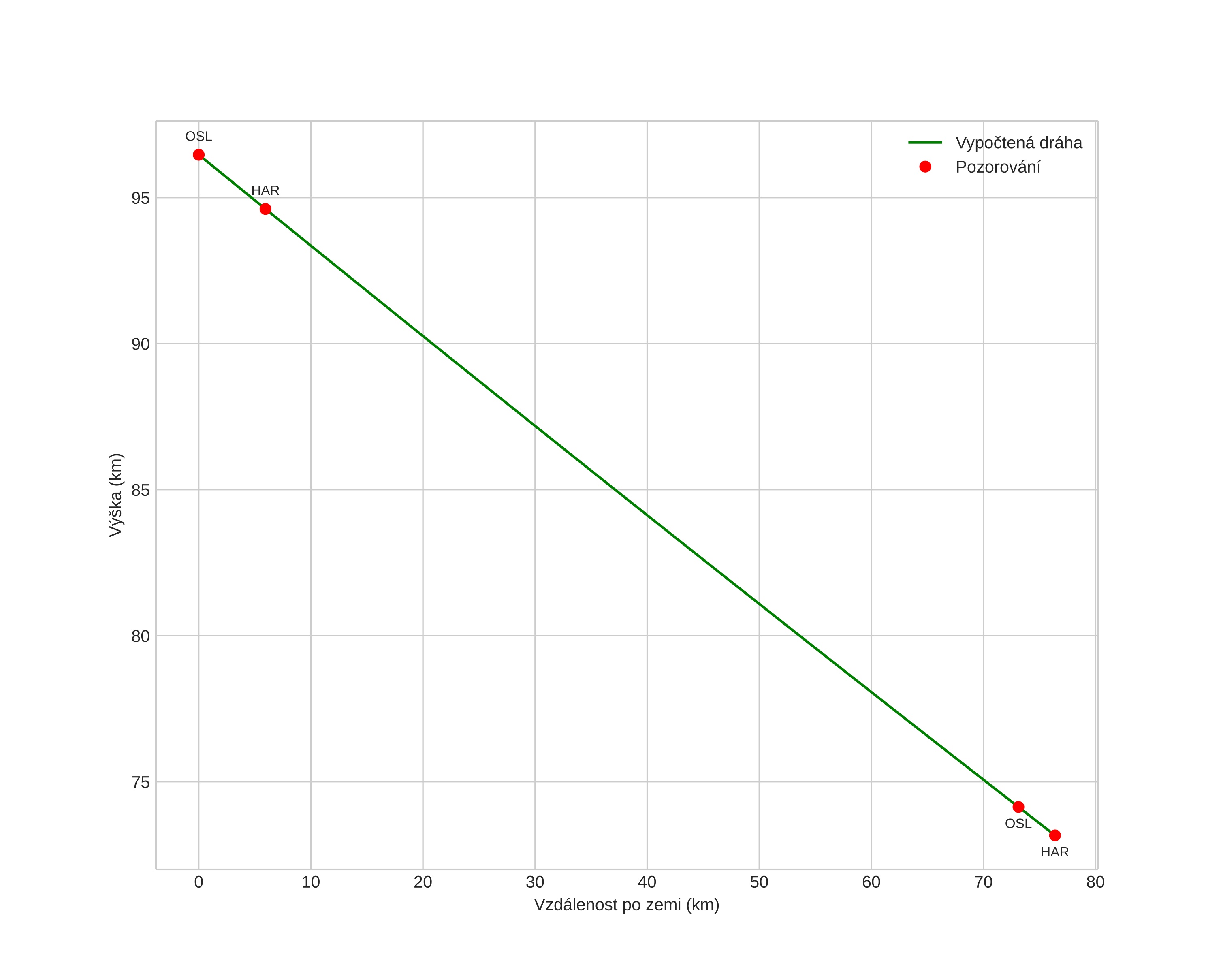
height profile
Atmosférická dráha meteoru:
Počáteční výška: 96,5 km
Konečná výška: 73,2 km
Počáteční poloha: 58,238N 8,365E
Konečná poloha: 58,444N 7,116E
Směr: 288,0°
Sklon: 17,0°
VstupnĂ­ rychlost: 63,4 km/s
Rektascenze radiantu: 14:23 (216,0°)
Deklinace radiantu: 4,8°
MeteorickĂ˝ roj: sporadickĂ˝
Elementy dráhy meteoroidu:
Vzdálenost v periheliu: 0,983 AU
Excentricita: 0,338
Sklon dráhy: 146,3°
Délka vzestupného uzlu: 301,2°
Argument perihelia: 173,8°
Střední anomálie: 2,9°
Epocha: 2016 JAN 22 01:23:15
orbit plot

NeinteraktivnĂ­ graf | InteraktivnĂ­ graf

position vs time
speed and acceleration