🇳🇴 🇬🇧 🇩🇪 🇨🇿 🇫🇮

Meteor, poloha: Fyresdal 2016-01-29 23:09:55 UTC

Soubor KML  |  InteraktivnĂ­ mapa

Mapa zobrazuje dráhy meteoru. Světlejší čáry ukazují směry od pozorovacích stanic při objevení se meteoru a tmavší čáry, kde byl naposledy viděn. Modrá šipka značí viditelnou dráhu meteoru.

static map
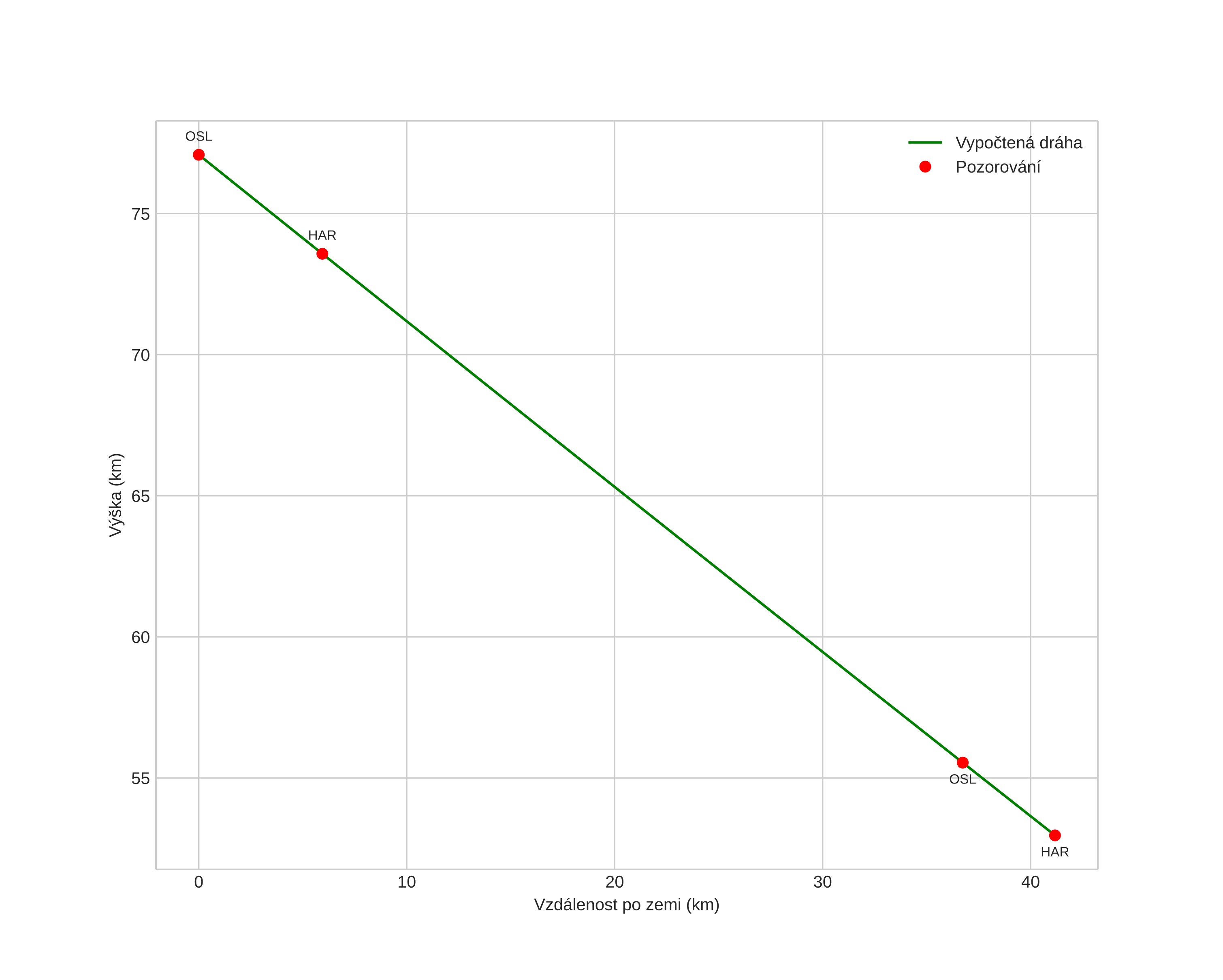
height profile
Atmosférická dráha meteoru:
Počáteční výška: 77,1 km
Konečná výška: 53,0 km
Počáteční poloha: 59,183N 7,377E
Konečná poloha: 59,255N 8,086E
Směr: 78,5°
Sklon: 30,3°
VstupnĂ­ rychlost: 14,2 km/s
Rektascenze radiantu: 03:22 (50,7°)
Deklinace radiantu: 7,4°
MeteorickĂ˝ roj: sporadickĂ˝
Elementy dráhy meteoroidu:
Vzdálenost v periheliu: 0,983 AU
Excentricita: 0,707
Sklon dráhy: 2,5°
Délka vzestupného uzlu: 129,3°
Argument perihelia: 5,3°
Střední anomálie: 359,4°
Epocha: 2016 JAN 29 23:09:55
orbit plot

NeinteraktivnĂ­ graf | InteraktivnĂ­ graf

position vs time
speed and acceleration