🇳🇴 🇬🇧 🇩🇪 🇨🇿 🇫🇮

Meteor, poloha: Høyanger 2016-01-30 00:25:21 UTC

Soubor KML  |  InteraktivnĂ­ mapa

Mapa zobrazuje dráhy meteoru. Světlejší čáry ukazují směry od pozorovacích stanic při objevení se meteoru a tmavší čáry, kde byl naposledy viděn. Modrá šipka značí viditelnou dráhu meteoru.

static map
height profile
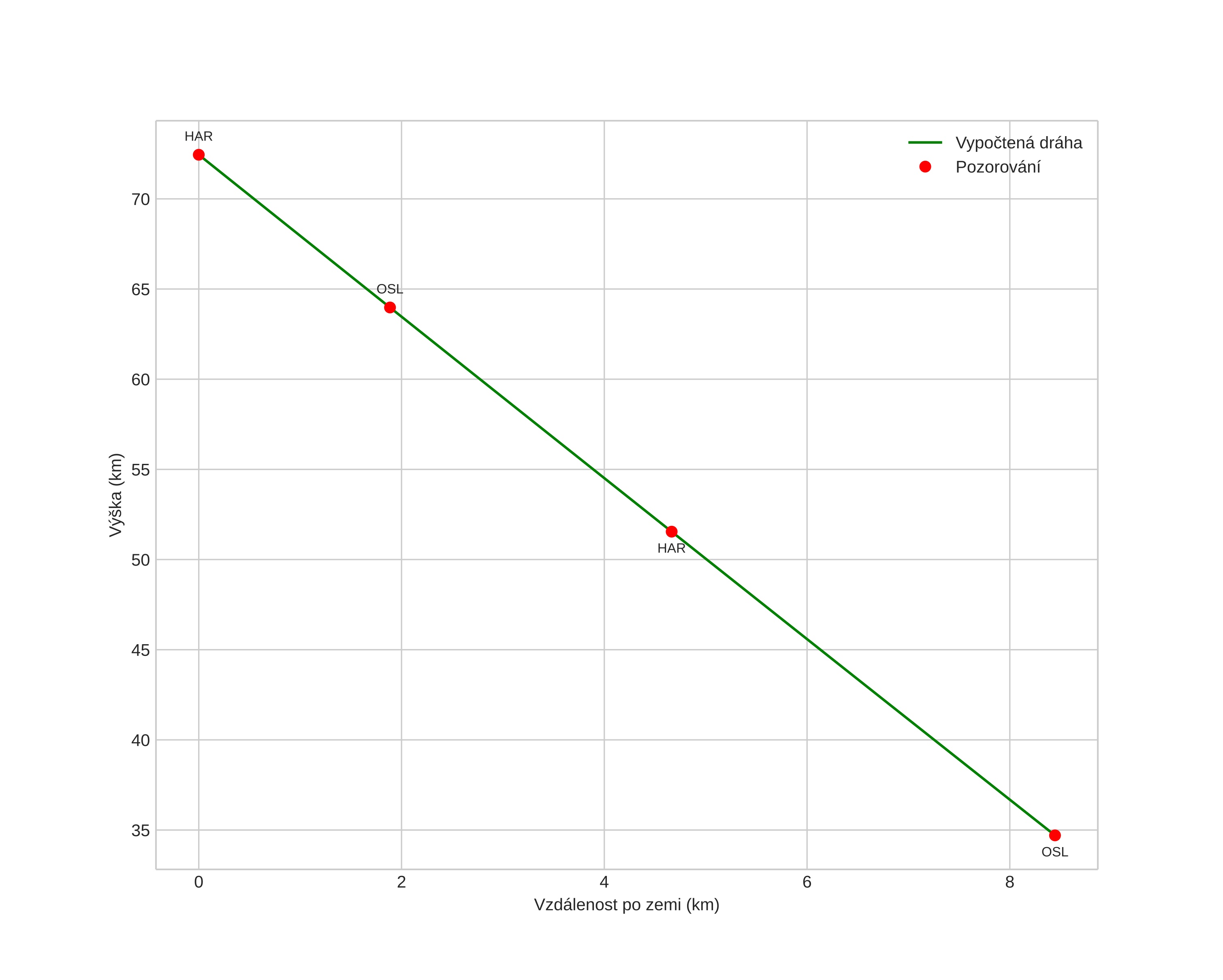
Atmosférická dráha meteoru:
Počáteční výška: 72,4 km
Konečná výška: 34,7 km
Počáteční poloha: 61,272N 6,038E
Konečná poloha: 61,312N 6,172E
Směr: 58,0°
Sklon: 77,4°
VstupnĂ­ rychlost: 16,2 km/s
Rektascenze radiantu: 07:56 (119,2°)
Deklinace radiantu: 51,3°
MeteorickĂ˝ roj: sporadickĂ˝
Elementy dráhy meteoroidu:
Vzdálenost v periheliu: 0,869 AU
Excentricita: 0,457
Sklon dráhy: 10,0°
Délka vzestupného uzlu: 309,3°
Argument perihelia: 231,4°
Střední anomálie: 341,4°
Epocha: 2016 JAN 30 00:25:21
orbit plot

NeinteraktivnĂ­ graf | InteraktivnĂ­ graf

position vs time
speed and acceleration