🇳🇴 🇬🇧 🇩🇪 🇨🇿 🇫🇮

Meteor, poloha: Langesund 2016-02-12 00:41:29 UTC

Soubor KML  |  InteraktivnĂ­ mapa

Mapa zobrazuje dráhy meteoru. Světlejší čáry ukazují směry od pozorovacích stanic při objevení se meteoru a tmavší čáry, kde byl naposledy viděn. Modrá šipka značí viditelnou dráhu meteoru.

static map
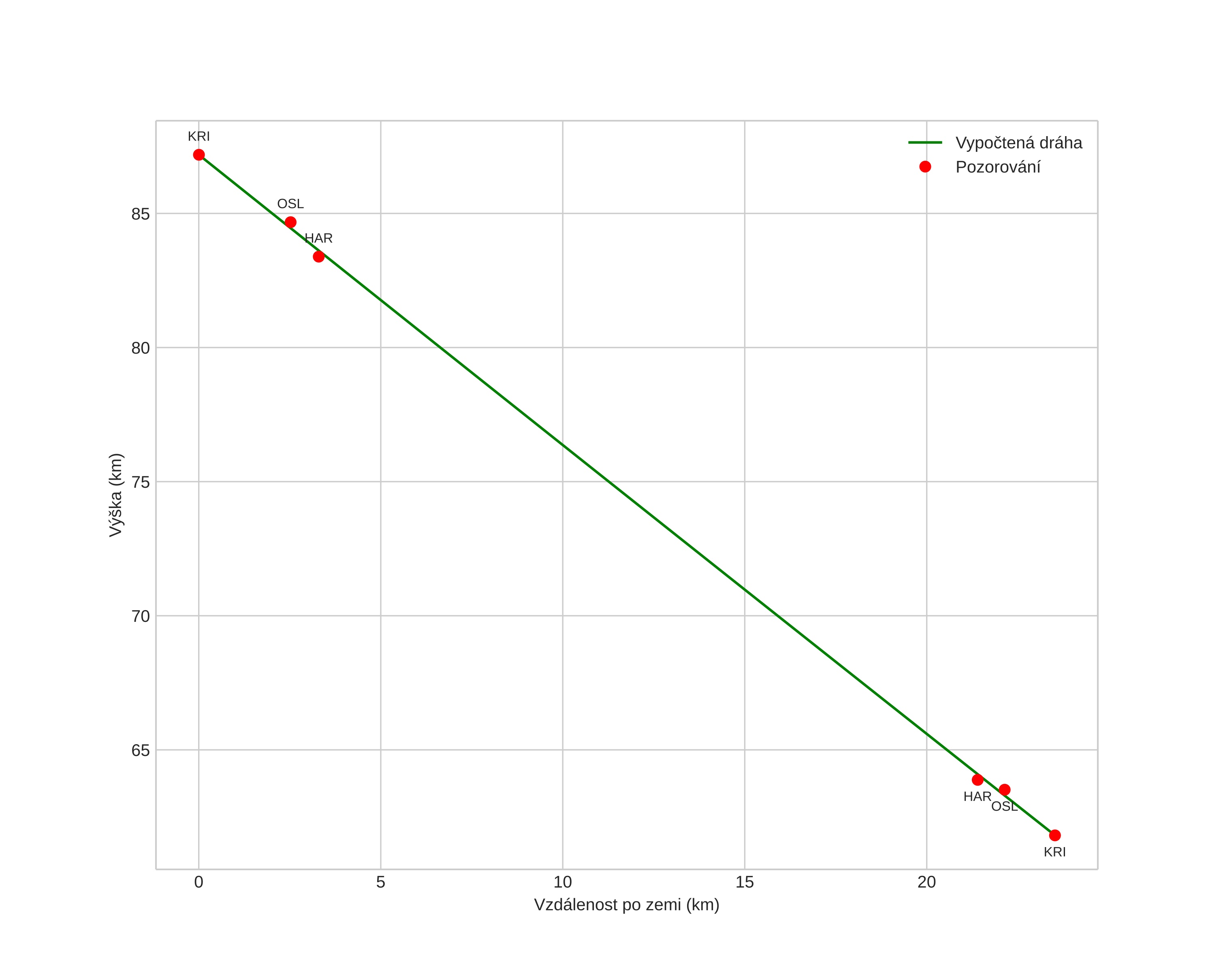
height profile
Atmosférická dráha meteoru:
Počáteční výška: 87,2 km
Konečná výška: 61,8 km
Počáteční poloha: 58,283N 9,522E
Konečná poloha: 58,373N 9,887E
Směr: 64,7°
Sklon: 47,2°
VstupnĂ­ rychlost: 16,8 km/s
Rektascenze radiantu: 07:30 (112,7°)
Deklinace radiantu: 22,4°
MeteorickĂ˝ roj: sporadickĂ˝
Elementy dráhy meteoroidu:
Vzdálenost v periheliu: 0,893 AU
Excentricita: 0,675
Sklon dráhy: 0,2°
Délka vzestupného uzlu: 322,2°
Argument perihelia: 220,5°
Střední anomálie: 353,8°
Epocha: 2016 FEB 12 00:41:29
orbit plot

NeinteraktivnĂ­ graf | InteraktivnĂ­ graf

position vs time
speed and acceleration