🇳🇴 🇬🇧 🇩🇪 🇨🇿 🇫🇮

Meteor, poloha: Nossebro 2016-02-15 21:54:38 UTC

Soubor KML  |  InteraktivnĂ­ mapa

Mapa zobrazuje dráhy meteoru. Světlejší čáry ukazují směry od pozorovacích stanic při objevení se meteoru a tmavší čáry, kde byl naposledy viděn. Modrá šipka značí viditelnou dráhu meteoru.

static map
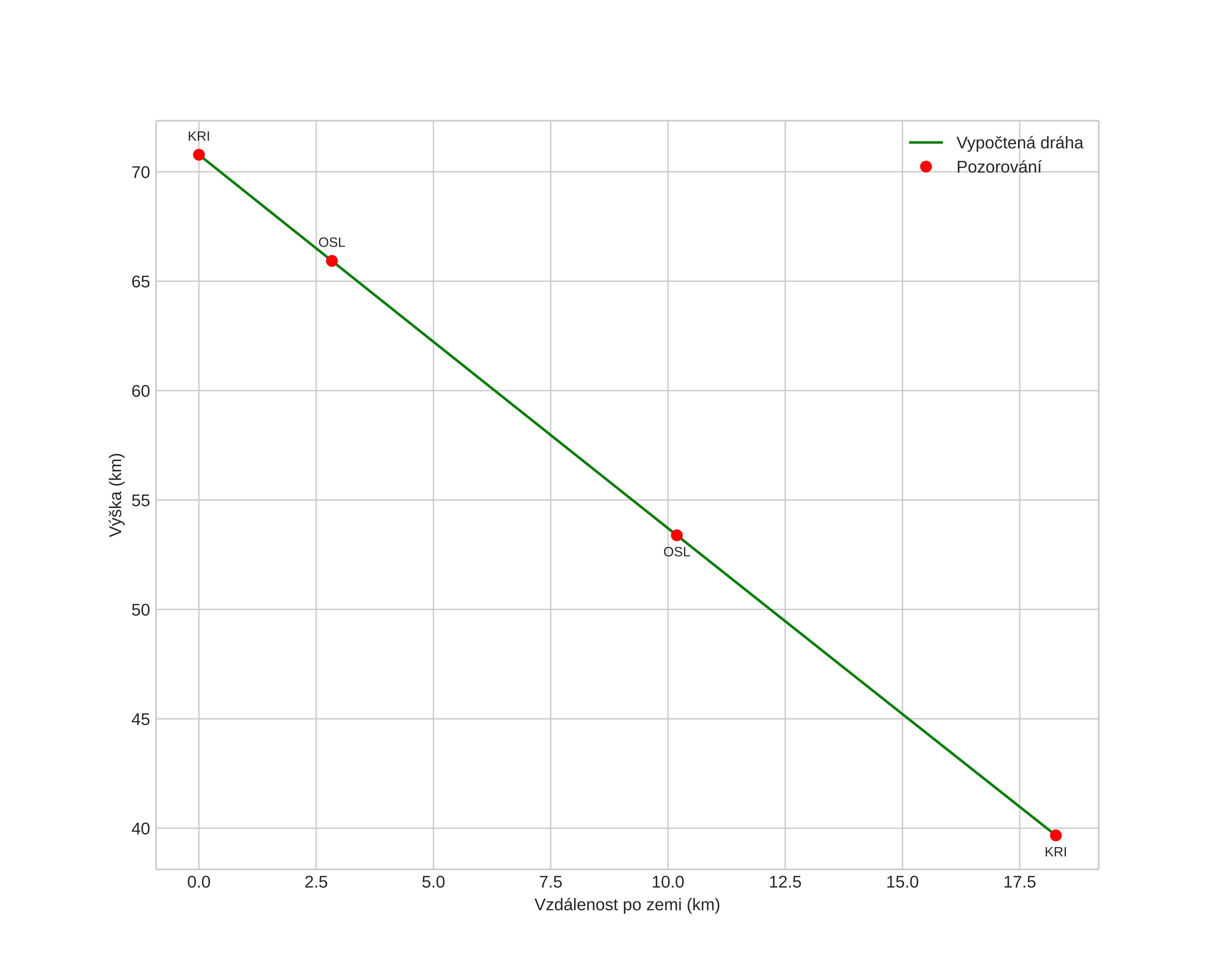
height profile
Atmosférická dráha meteoru:
Počáteční výška: 70,8 km
Konečná výška: 39,7 km
Počáteční poloha: 58,172N 12,347E
Konečná poloha: 58,235N 12,635E
Směr: 67,3°
Sklon: 59,6°
VstupnĂ­ rychlost: 14,0 km/s
Rektascenze radiantu: 05:29 (82,5°)
Deklinace radiantu: 32,4°
MeteorickĂ˝ roj: sporadickĂ˝
Elementy dráhy meteoroidu:
Vzdálenost v periheliu: 0,976 AU
Excentricita: 0,606
Sklon dráhy: 2,1°
Délka vzestupného uzlu: 326,4°
Argument perihelia: 194,3°
Střední anomálie: 357,2°
Epocha: 2016 FEB 15 21:54:38
orbit plot

NeinteraktivnĂ­ graf | InteraktivnĂ­ graf

position vs time
speed and acceleration