🇳🇴 🇬🇧 🇩🇪 🇨🇿 🇫🇮

Meteor, poloha: Askim 2016-02-21 18:42:10 UTC

Soubor KML  |  InteraktivnĂ­ mapa

Mapa zobrazuje dráhy meteoru. Světlejší čáry ukazují směry od pozorovacích stanic při objevení se meteoru a tmavší čáry, kde byl naposledy viděn. Modrá šipka značí viditelnou dráhu meteoru.

static map
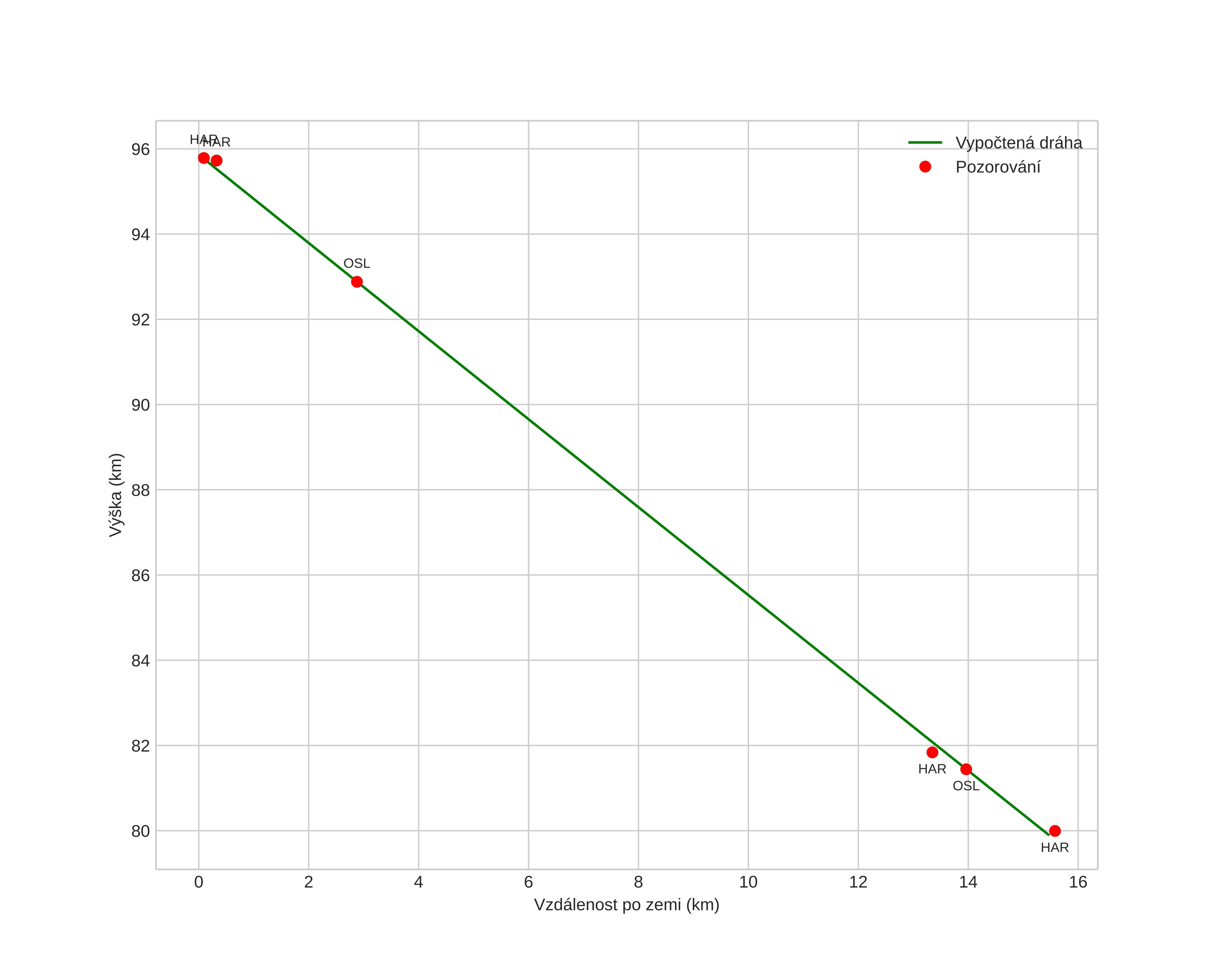
height profile
Atmosférická dráha meteoru:
Počáteční výška: 95,9 km
Konečná výška: 79,9 km
Počáteční poloha: 59,558N 11,413E
Konečná poloha: 59,584N 11,143E
Směr: 280,9°
Sklon: 46,0°
VstupnĂ­ rychlost: 18,4 km/s
Rektascenze radiantu: 09:23 (140,9°)
Deklinace radiantu: 29,7°
MeteorickĂ˝ roj: sporadickĂ˝
Elementy dráhy meteoroidu:
Vzdálenost v periheliu: 0,826 AU
Excentricita: 0,607
Sklon dráhy: 5,6°
Délka vzestupného uzlu: 332,3°
Argument perihelia: 235,6°
Střední anomálie: 347,8°
Epocha: 2016 FEB 21 18:42:10
orbit plot

NeinteraktivnĂ­ graf | InteraktivnĂ­ graf

position vs time
speed and acceleration