🇳🇴 🇬🇧 🇩🇪 🇨🇿 🇫🇮

Meteor, poloha: Ă…mĂĄl 2016-02-25 05:23:57 UTC

Soubor KML  |  InteraktivnĂ­ mapa

Mapa zobrazuje dráhy meteoru. Světlejší čáry ukazují směry od pozorovacích stanic při objevení se meteoru a tmavší čáry, kde byl naposledy viděn. Modrá šipka značí viditelnou dráhu meteoru.

static map
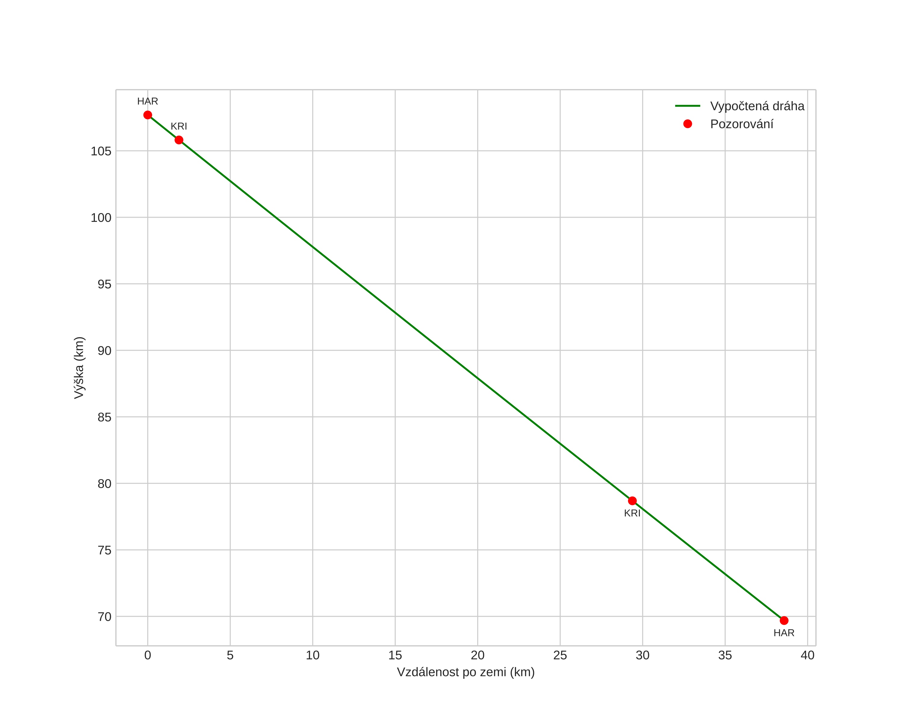
height profile
Atmosférická dráha meteoru:
Počáteční výška: 107,7 km
Konečná výška: 69,7 km
Počáteční poloha: 58,684N 12,330E
Konečná poloha: 58,922N 12,816E
Směr: 46,4°
Sklon: 44,6°
VstupnĂ­ rychlost: 60,7 km/s
Rektascenze radiantu: 14:15 (214,0°)
Deklinace radiantu: 19,7°
MeteorickĂ˝ roj: sporadickĂ˝
Elementy dráhy meteoroidu:
Vzdálenost v periheliu: 0,512 AU
Excentricita: 1,212
Sklon dráhy: 104,6°
Délka vzestupného uzlu: 335,8°
Argument perihelia: 263,1°
Střední anomálie: -8,9°
Epocha: 2016 FEB 25 05:23:57
orbit plot

NeinteraktivnĂ­ graf | InteraktivnĂ­ graf

position vs time
speed and acceleration