🇳🇴 🇬🇧 🇩🇪 🇨🇿 🇫🇮

Meteor, poloha: Tonstad 2016-02-27 17:48:04 UTC

Soubor KML  |  InteraktivnĂ­ mapa

Mapa zobrazuje dráhy meteoru. Světlejší čáry ukazují směry od pozorovacích stanic při objevení se meteoru a tmavší čáry, kde byl naposledy viděn. Modrá šipka značí viditelnou dráhu meteoru.

static map
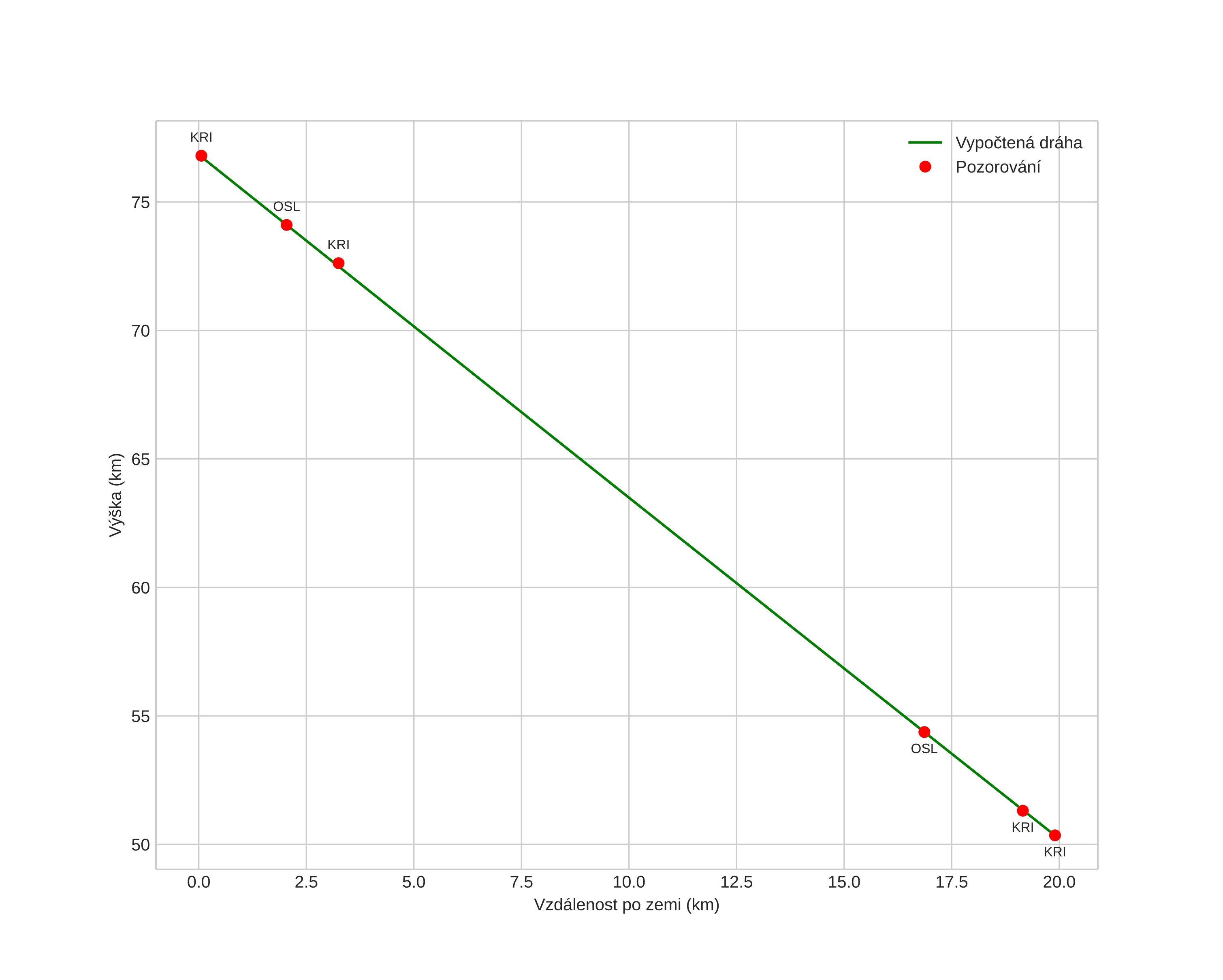
height profile
Atmosférická dráha meteoru:
Počáteční výška: 76,8 km
Konečná výška: 50,4 km
Počáteční poloha: 58,718N 7,113E
Konečná poloha: 58,612N 6,836E
Směr: 233,7°
Sklon: 53,0°
VstupnĂ­ rychlost: 18,6 km/s
Rektascenze radiantu: 10:17 (154,4°)
Deklinace radiantu: 58,4°
MeteorickĂ˝ roj: sporadickĂ˝
Elementy dráhy meteoroidu:
Vzdálenost v periheliu: 0,914 AU
Excentricita: 0,605
Sklon dráhy: 16,2°
Délka vzestupného uzlu: 338,3°
Argument perihelia: 217,3°
Střední anomálie: 352,3°
Epocha: 2016 FEB 27 17:48:04
orbit plot

NeinteraktivnĂ­ graf | InteraktivnĂ­ graf

position vs time
speed and acceleration

Kristiansand (KRI) cam1

fireball
gnomonic
Videa
• Gnomonická
• Gnomonická se souřadnicemi
Obrázky
• Gnomonická
• Gnomonická se souřadnicemi
• Gnomonická s popisky
• Původní
• Původní se souřadnicemi
• Původní s maskou
Textové soubory
• Detekce
• Pozorování
• Souřadnice
• Chybová hlášení
• Protokol
Jasnost

Kristiansand (KRI) cam4

fireball
gnomonic
Videa
• Gnomonická
• Gnomonická se souřadnicemi
Obrázky
• Gnomonická
• Gnomonická se souřadnicemi
• Gnomonická s popisky
• Původní
• Původní se souřadnicemi
• Původní s maskou
Textové soubory
• Detekce
• Pozorování
• Souřadnice
• Chybová hlášení
• Protokol
Jasnost