🇳🇴 🇬🇧 🇩🇪 🇨🇿 🇫🇮

Meteor, poloha: Träslövsläge 2016-02-27 22:46:14 UTC

Soubor KML  |  InteraktivnĂ­ mapa

Mapa zobrazuje dráhy meteoru. Světlejší čáry ukazují směry od pozorovacích stanic při objevení se meteoru a tmavší čáry, kde byl naposledy viděn. Modrá šipka značí viditelnou dráhu meteoru.

static map
height profile
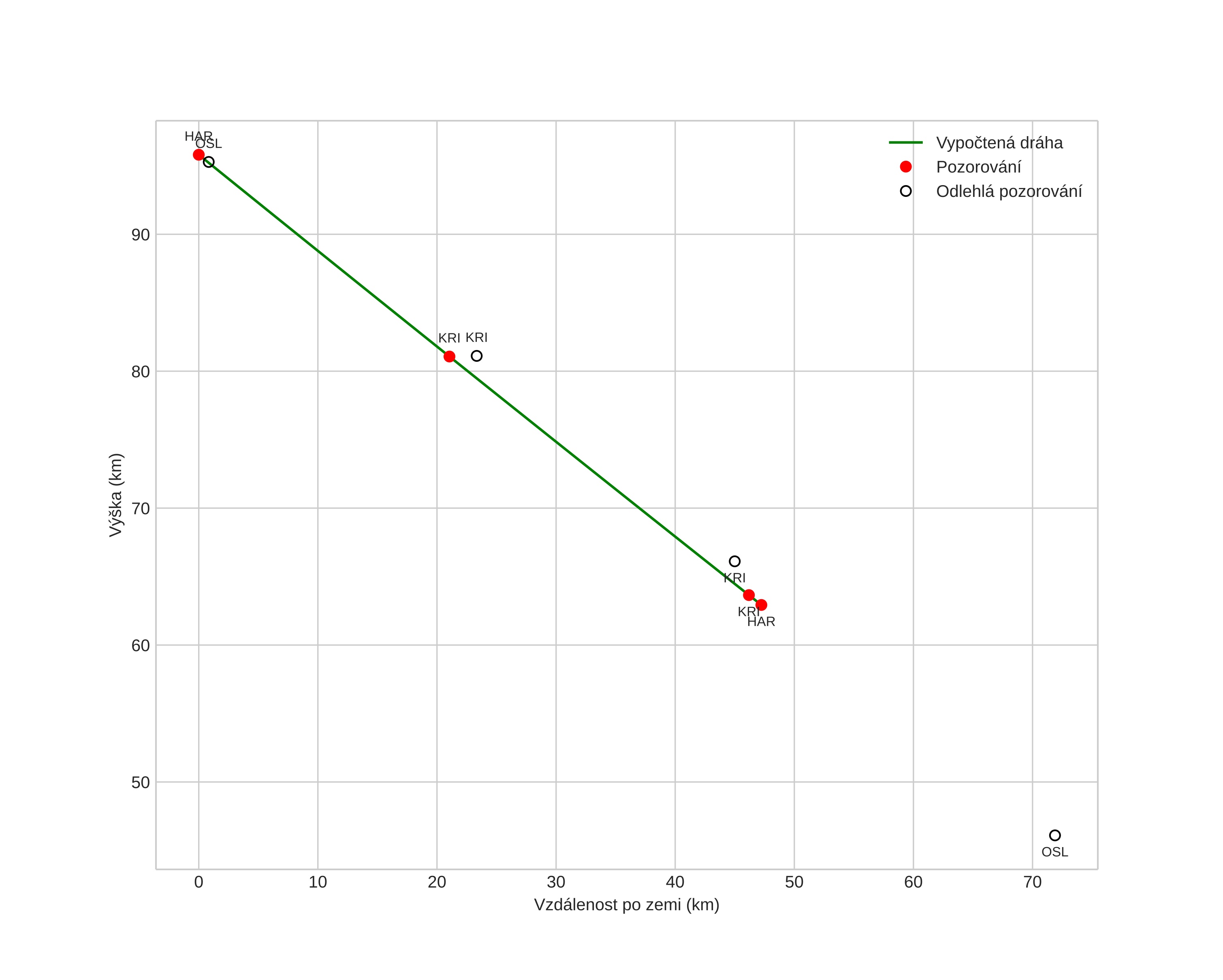
Atmosférická dráha meteoru:
Počáteční výška: 95,8 km
Konečná výška: 62,9 km
Počáteční poloha: 56,526N 12,280E
Konečná poloha: 56,930N 12,038E
Směr: 341,9°
Sklon: 34,9°
VstupnĂ­ rychlost: 29,6 km/s
Rektascenze radiantu: 11:01 (165,4°)
Deklinace radiantu: 0,5°
MeteorickĂ˝ roj: sporadickĂ˝
Elementy dráhy meteoroidu:
Vzdálenost v periheliu: 0,427 AU
Excentricita: 0,814
Sklon dráhy: 5,5°
Délka vzestupného uzlu: 158,6°
Argument perihelia: 105,5°
Střední anomálie: 347,7°
Epocha: 2016 FEB 27 22:46:14
orbit plot

NeinteraktivnĂ­ graf | InteraktivnĂ­ graf

position vs time
speed and acceleration