🇳🇴 🇬🇧 🇩🇪 🇨🇿 🇫🇮

Meteor, poloha: Nærbø 2016-03-14 22:10:04 UTC

Soubor KML  |  InteraktivnĂ­ mapa

Mapa zobrazuje dráhy meteoru. Světlejší čáry ukazují směry od pozorovacích stanic při objevení se meteoru a tmavší čáry, kde byl naposledy viděn. Modrá šipka značí viditelnou dráhu meteoru.

static map
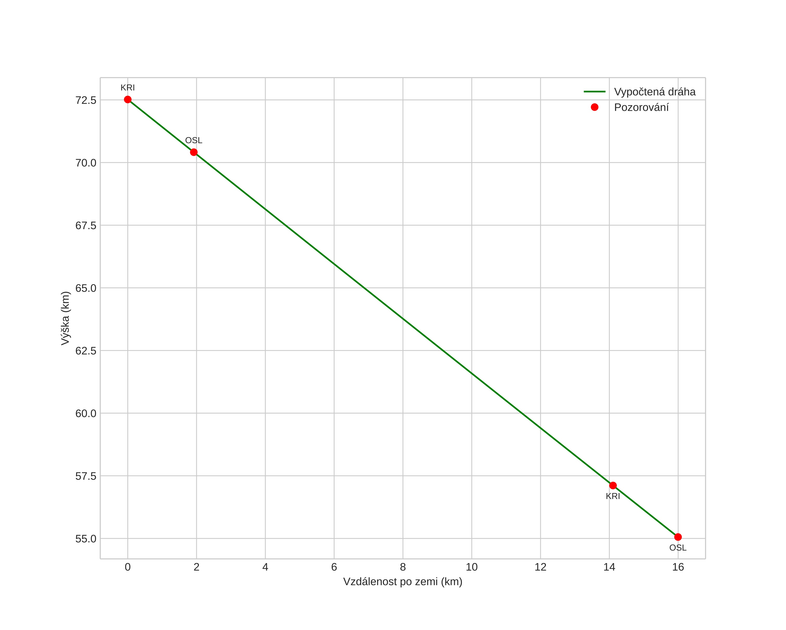
height profile
Atmosférická dráha meteoru:
Počáteční výška: 72,5 km
Konečná výška: 55,1 km
Počáteční poloha: 58,435N 5,165E
Konečná poloha: 58,578N 5,160E
Směr: 359,1°
Sklon: 47,4°
VstupnĂ­ rychlost: 16,8 km/s
Rektascenze radiantu: 10:00 (150,1°)
Deklinace radiantu: 9,5°
MeteorickĂ˝ roj: sporadickĂ˝
Elementy dráhy meteoroidu:
Vzdálenost v periheliu: 0,877 AU
Excentricita: 0,596
Sklon dráhy: 0,9°
Délka vzestupného uzlu: 174,5°
Argument perihelia: 46,8°
Střední anomálie: 349,6°
Epocha: 2016 MAR 14 22:10:04
orbit plot

NeinteraktivnĂ­ graf | InteraktivnĂ­ graf

position vs time
speed and acceleration