🇳🇴 🇬🇧 🇩🇪 🇨🇿 🇫🇮

Meteor, poloha: Seljord 2016-03-16 02:46:25 UTC

Kristiansand – 4
Kristiansand – 4
Solobservatoriet – 1
Solobservatoriet – 1
Voksenlia – 1
Voksenlia – 1
Voksenlia – 2
Voksenlia – 2

Soubor KML  | Interaktivní mapa

map

Mapa zobrazuje dráhy meteoru. Světlejší čáry ukazují směry od pozorovacích stanic při objevení se meteoru a tmavší čáry, kde byl naposledy viděn. Modrá šipka značí viditelnou dráhu meteoru.

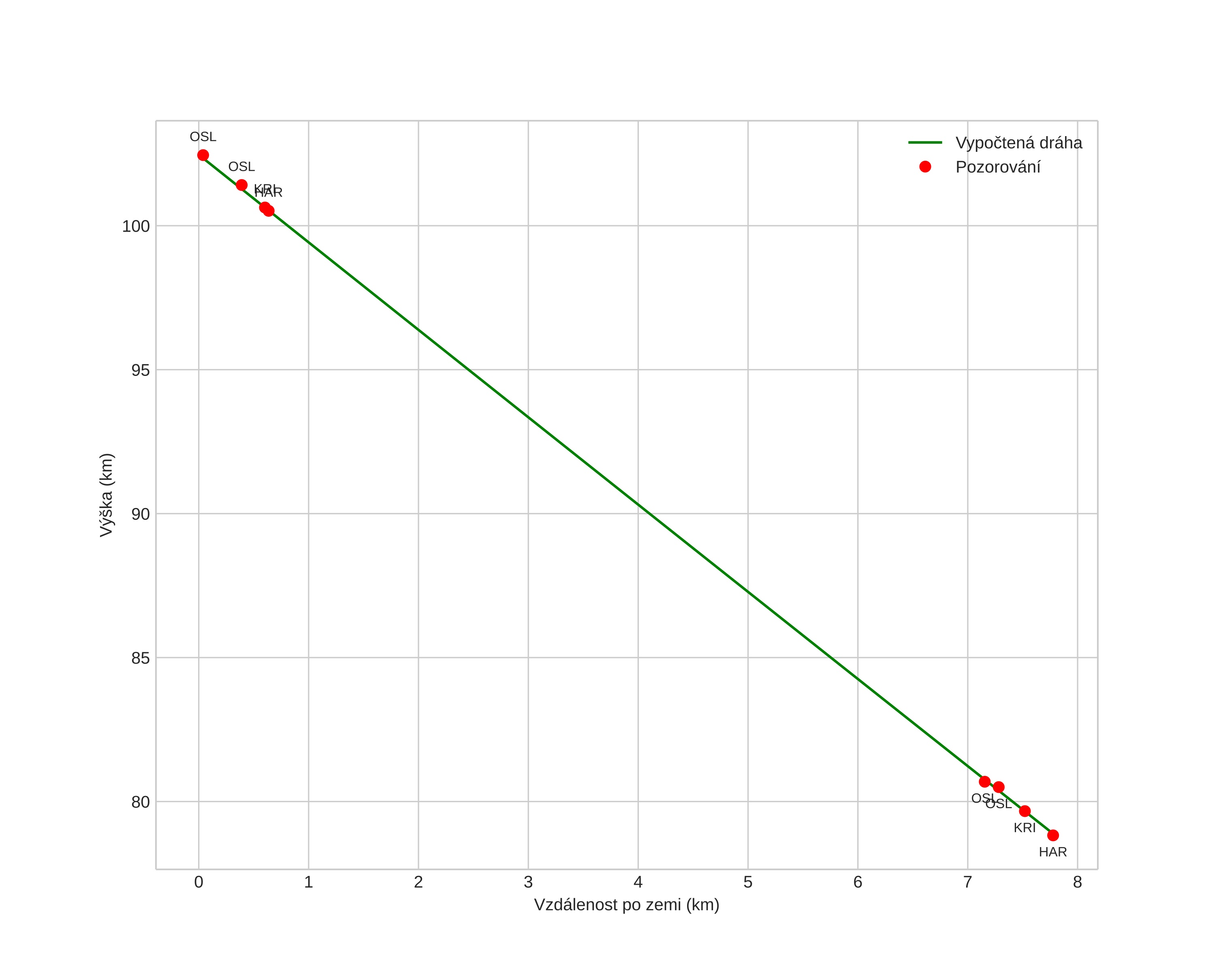
height profile
Atmosférická dráha meteoru:
Počáteční výška: 102,5 km
Konečná výška: 78,8 km
Počáteční poloha: 59,420N 8,758E
Konečná poloha: 59,476N 8,674E
Směr: 322,4°
Sklon: 71,8°
Vstupní rychlost: 40,6 km/s
Rektascenze radiantu: 15:57 (239,3°)
Deklinace radiantu: 43,4°
Meteorický roj: sporadický
Elementy dráhy meteoroidu:
Vzdálenost v periheliu: 0,883 AU
Excentricita: 0,860
Sklon dráhy: 63,4°
Délka vzestupného uzlu: 355,7°
Argument perihelia: 220,9°
Střední anomálie: 358,3°
Epocha: 2016 MAR 16 02:46:25
orbit

Neinteraktivní graf | Interaktivní graf

position vs time
speed & acceleration