🇳🇴 🇬🇧 🇩🇪 🇨🇿 🇫🇮

Meteor, poloha: DombĂĄs 2016-03-17 03:06:42 UTC

Soubor KML  |  InteraktivnĂ­ mapa

Mapa zobrazuje dráhy meteoru. Světlejší čáry ukazují směry od pozorovacích stanic při objevení se meteoru a tmavší čáry, kde byl naposledy viděn. Modrá šipka značí viditelnou dráhu meteoru.

static map
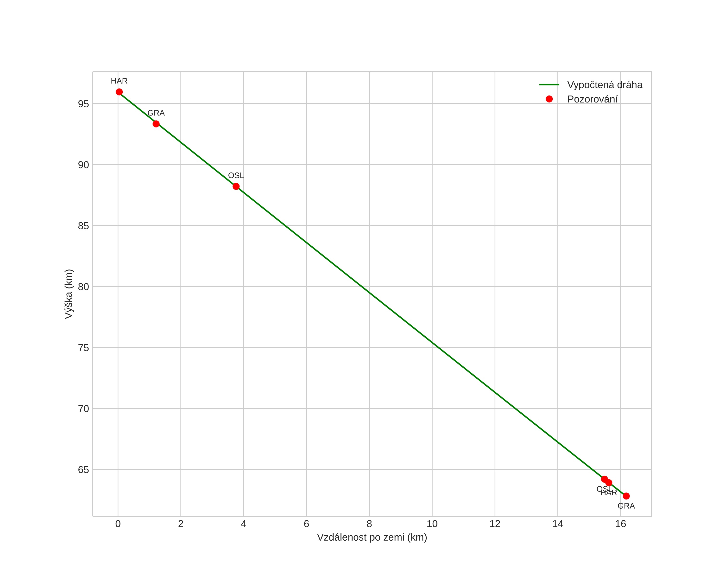
height profile
Atmosférická dráha meteoru:
Počáteční výška: 95,9 km
Konečná výška: 62,8 km
Počáteční poloha: 62,071N 9,510E
Konečná poloha: 62,056N 9,202E
Směr: 264,2°
Sklon: 64,0°
VstupnĂ­ rychlost: 44,1 km/s
Rektascenze radiantu: 18:40 (280,1°)
Deklinace radiantu: 54,4°
MeteorickĂ˝ roj: sporadickĂ˝
Elementy dráhy meteoroidu:
Vzdálenost v periheliu: 0,984 AU
Excentricita: 1,479
Sklon dráhy: 62,6°
Délka vzestupného uzlu: 356,7°
Argument perihelia: 169,1°
Střední anomálie: 2,3°
Epocha: 2016 MAR 17 03:06:42
orbit plot

NeinteraktivnĂ­ graf | InteraktivnĂ­ graf

position vs time
speed and acceleration