🇳🇴 🇬🇧 🇩🇪 🇨🇿 🇫🇮

Meteor, poloha: Skutskär 2016-03-19 19:12:23 UTC

Soubor KML  |  Interaktivní mapa

Mapa zobrazuje dráhy meteoru. Světlejší čáry ukazují směry od pozorovacích stanic při objevení se meteoru a tmavší čáry, kde byl naposledy viděn. Modrá šipka značí viditelnou dráhu meteoru.

static map
height profile
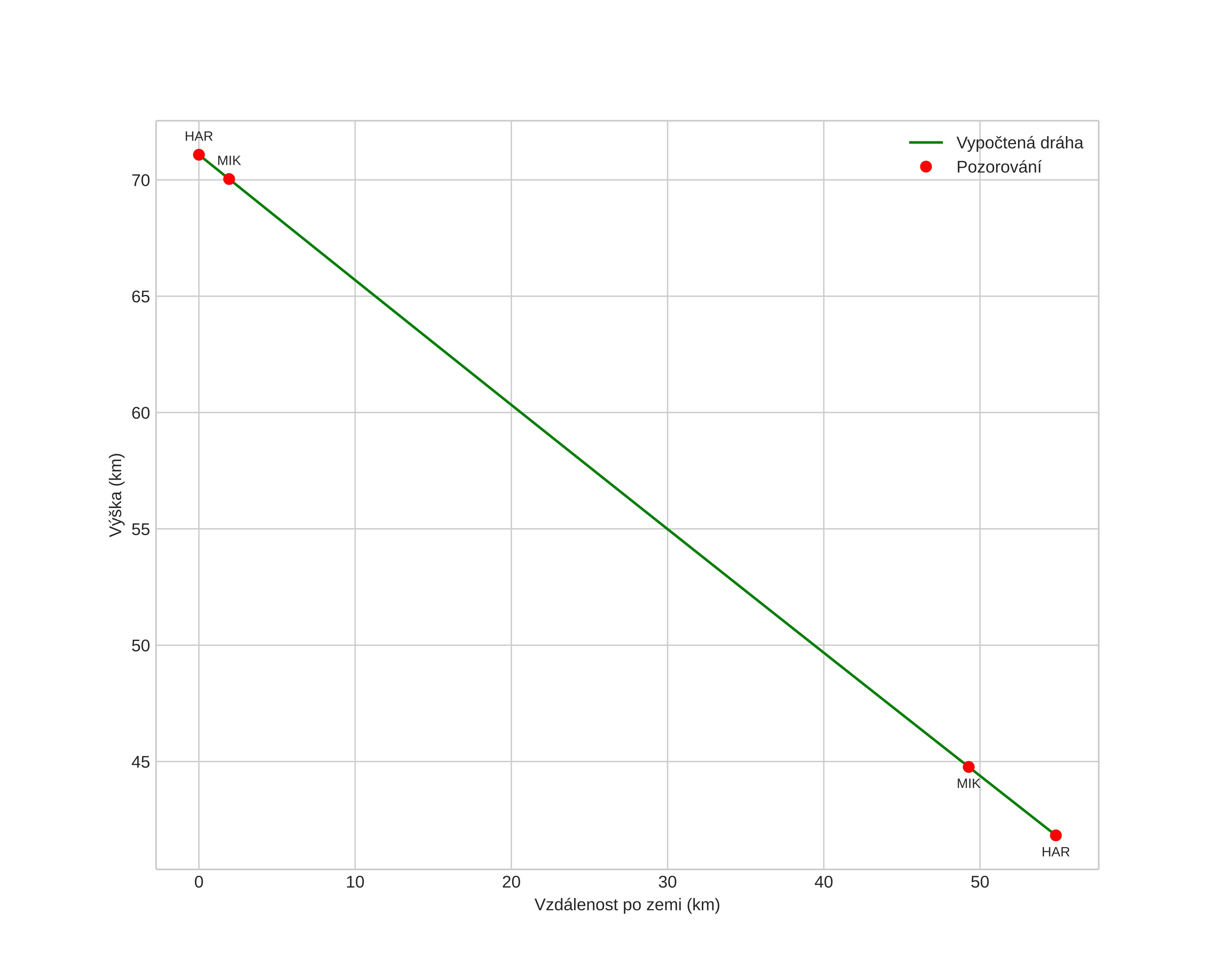
Atmosférická dráha meteoru:
Počáteční výška: 71,1 km
Konečná výška: 41,8 km
Počáteční poloha: 60,600N 18,554E
Konečná poloha: 60,786N 17,621E
Směr: 292,6°
Sklon: 28,1°
orbit plot
position vs time
speed and acceleration