🇳🇴 🇬🇧 🇩🇪 🇨🇿 🇫🇮

Meteor, poloha: Farnes 2016-03-20 20:22:55 UTC

Soubor KML  |  InteraktivnĂ­ mapa

Mapa zobrazuje dráhy meteoru. Světlejší čáry ukazují směry od pozorovacích stanic při objevení se meteoru a tmavší čáry, kde byl naposledy viděn. Modrá šipka značí viditelnou dráhu meteoru.

static map
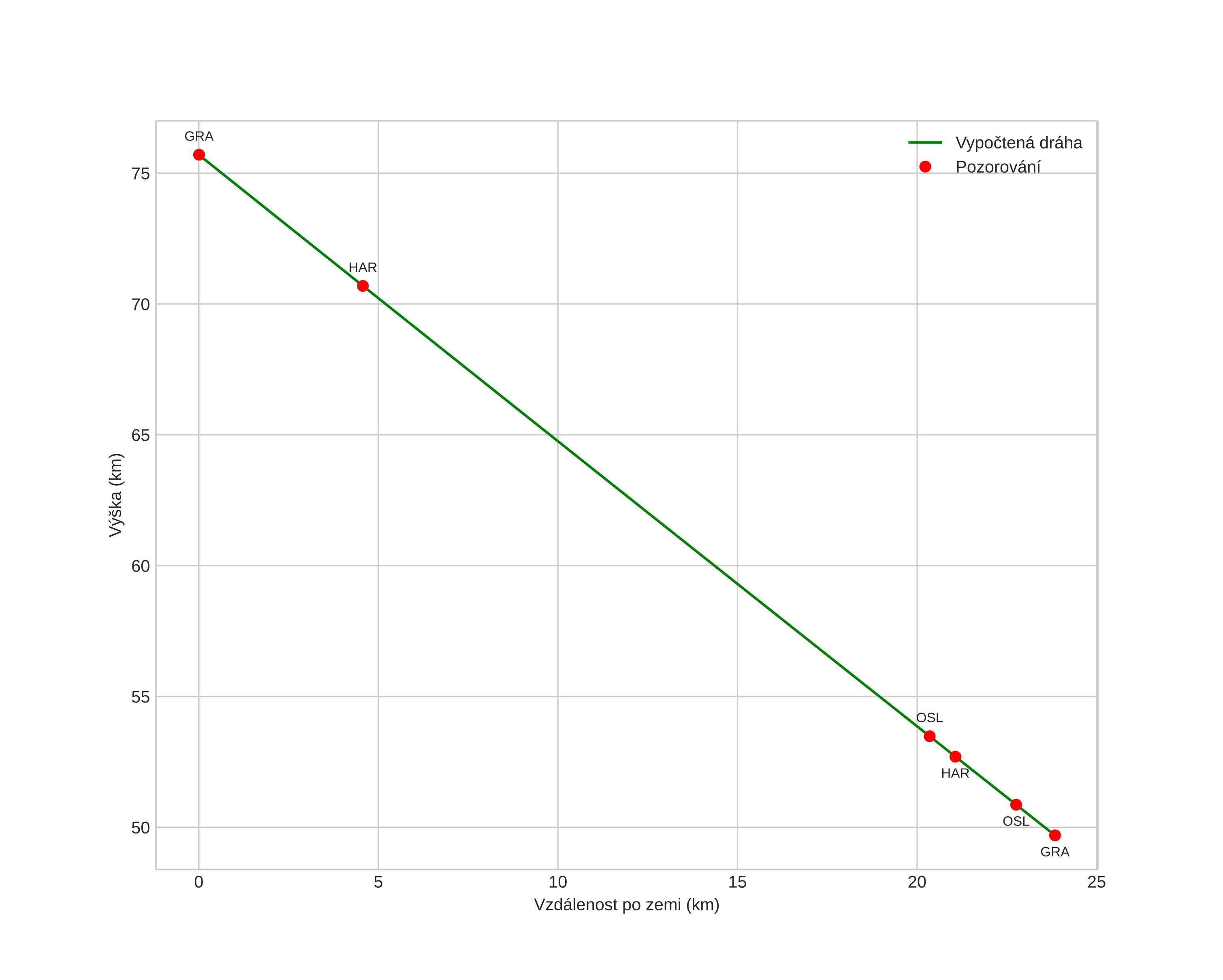
height profile
Atmosférická dráha meteoru:
Počáteční výška: 75,7 km
Konečná výška: 49,7 km
Počáteční poloha: 61,373N 7,999E
Konečná poloha: 61,539N 7,716E
Směr: 321,0°
Sklon: 47,5°
VstupnĂ­ rychlost: 17,4 km/s
Rektascenze radiantu: 10:44 (161,0°)
Deklinace radiantu: 17,9°
MeteorickĂ˝ roj: sporadickĂ˝
Elementy dráhy meteoroidu:
Vzdálenost v periheliu: 0,872 AU
Excentricita: 0,608
Sklon dráhy: 3,4°
Délka vzestupného uzlu: 0,4°
Argument perihelia: 228,0°
Střední anomálie: 349,8°
Epocha: 2016 MAR 20 20:22:55
orbit plot

NeinteraktivnĂ­ graf | InteraktivnĂ­ graf

position vs time
speed and acceleration