🇳🇴 🇬🇧 🇩🇪 🇨🇿 🇫🇮

Meteor, poloha: Hov 2016-03-22 20:26:22 UTC

Soubor KML  |  InteraktivnĂ­ mapa

Mapa zobrazuje dráhy meteoru. Světlejší čáry ukazují směry od pozorovacích stanic při objevení se meteoru a tmavší čáry, kde byl naposledy viděn. Modrá šipka značí viditelnou dráhu meteoru.

static map
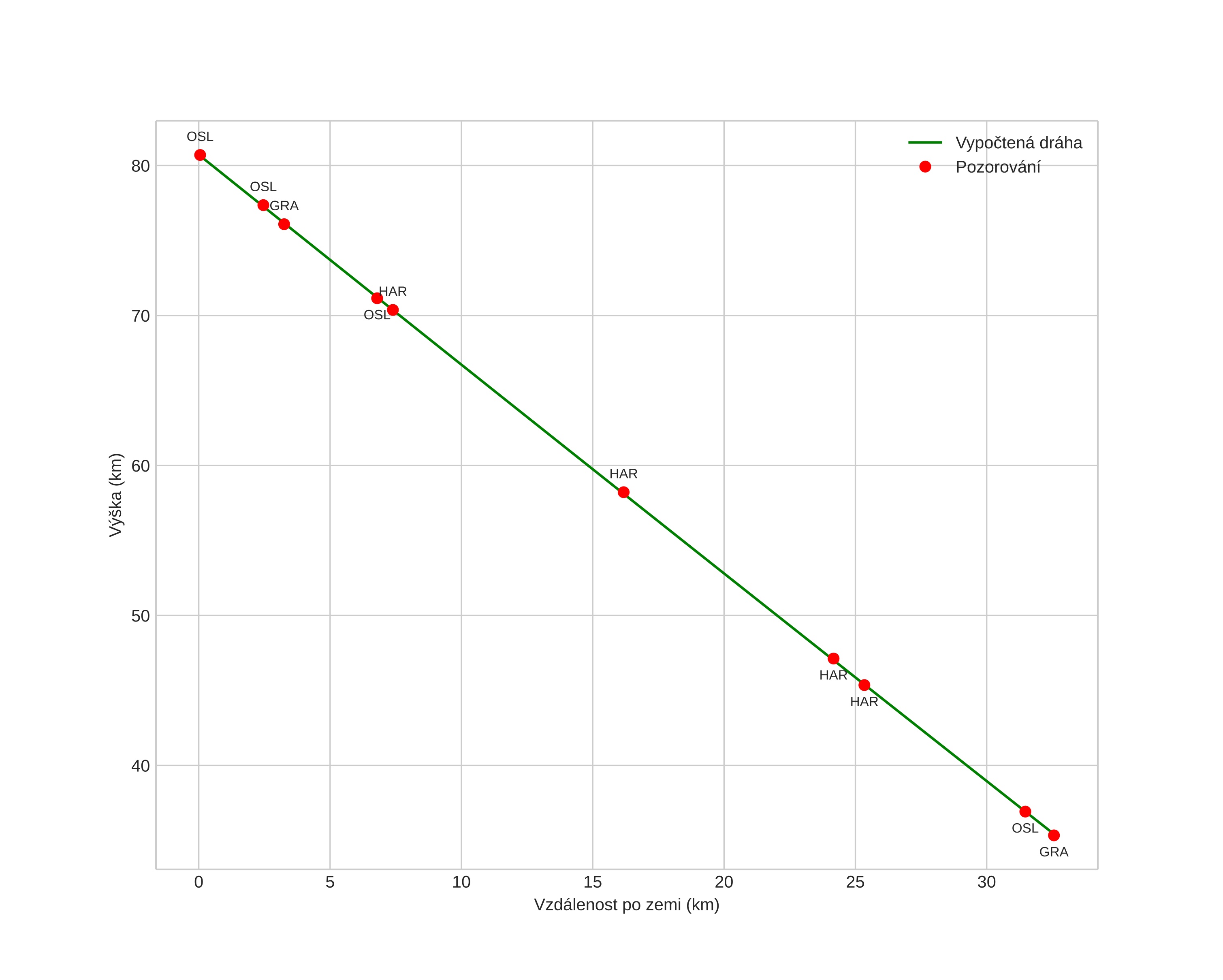
height profile
Atmosférická dráha meteoru:
Počáteční výška: 80,7 km
Konečná výška: 35,4 km
Počáteční poloha: 60,499N 10,647E
Konečná poloha: 60,697N 10,206E
Směr: 312,6°
Sklon: 54,3°
VstupnĂ­ rychlost: 15,3 km/s
Rektascenze radiantu: 11:19 (169,9°)
Deklinace radiantu: 24,8°
MeteorickĂ˝ roj: sporadickĂ˝
Elementy dráhy meteoroidu:
Vzdálenost v periheliu: 0,889 AU
Excentricita: 0,429
Sklon dráhy: 5,7°
Délka vzestupného uzlu: 2,4°
Argument perihelia: 230,1°
Střední anomálie: 340,5°
Epocha: 2016 MAR 22 20:26:22
orbit plot

NeinteraktivnĂ­ graf | InteraktivnĂ­ graf

position vs time
speed and acceleration