🇳🇴 🇬🇧 🇩🇪 🇨🇿 🇫🇮

Meteor, poloha: Farnes 2016-03-23 22:42:27 UTC

Soubor KML  |  InteraktivnĂ­ mapa

Mapa zobrazuje dráhy meteoru. Světlejší čáry ukazují směry od pozorovacích stanic při objevení se meteoru a tmavší čáry, kde byl naposledy viděn. Modrá šipka značí viditelnou dráhu meteoru.

static map
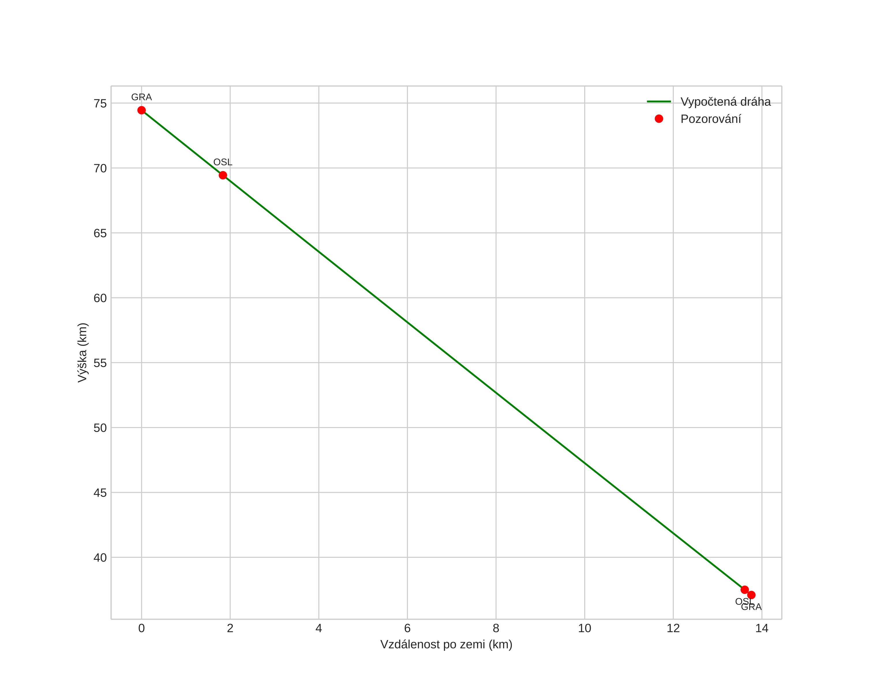
height profile
Atmosférická dráha meteoru:
Počáteční výška: 74,4 km
Konečná výška: 37,1 km
Počáteční poloha: 61,585N 7,552E
Konečná poloha: 61,703N 7,630E
Směr: 17,5°
Sklon: 69,7°
VstupnĂ­ rychlost: 14,9 km/s
Rektascenze radiantu: 10:37 (159,4°)
Deklinace radiantu: 37,7°
MeteorickĂ˝ roj: sporadickĂ˝
Elementy dráhy meteoroidu:
Vzdálenost v periheliu: 0,947 AU
Excentricita: 0,491
Sklon dráhy: 7,2°
Délka vzestupného uzlu: 3,5°
Argument perihelia: 212,0°
Střední anomálie: 350,2°
Epocha: 2016 MAR 23 22:42:27
orbit plot

NeinteraktivnĂ­ graf | InteraktivnĂ­ graf

position vs time
speed and acceleration