🇳🇴 🇬🇧 🇩🇪 🇨🇿 🇫🇮

Meteor, poloha: Karlshus 2016-03-31 22:58:08 UTC

Soubor KML  |  InteraktivnĂ­ mapa

Mapa zobrazuje dráhy meteoru. Světlejší čáry ukazují směry od pozorovacích stanic při objevení se meteoru a tmavší čáry, kde byl naposledy viděn. Modrá šipka značí viditelnou dráhu meteoru.

static map
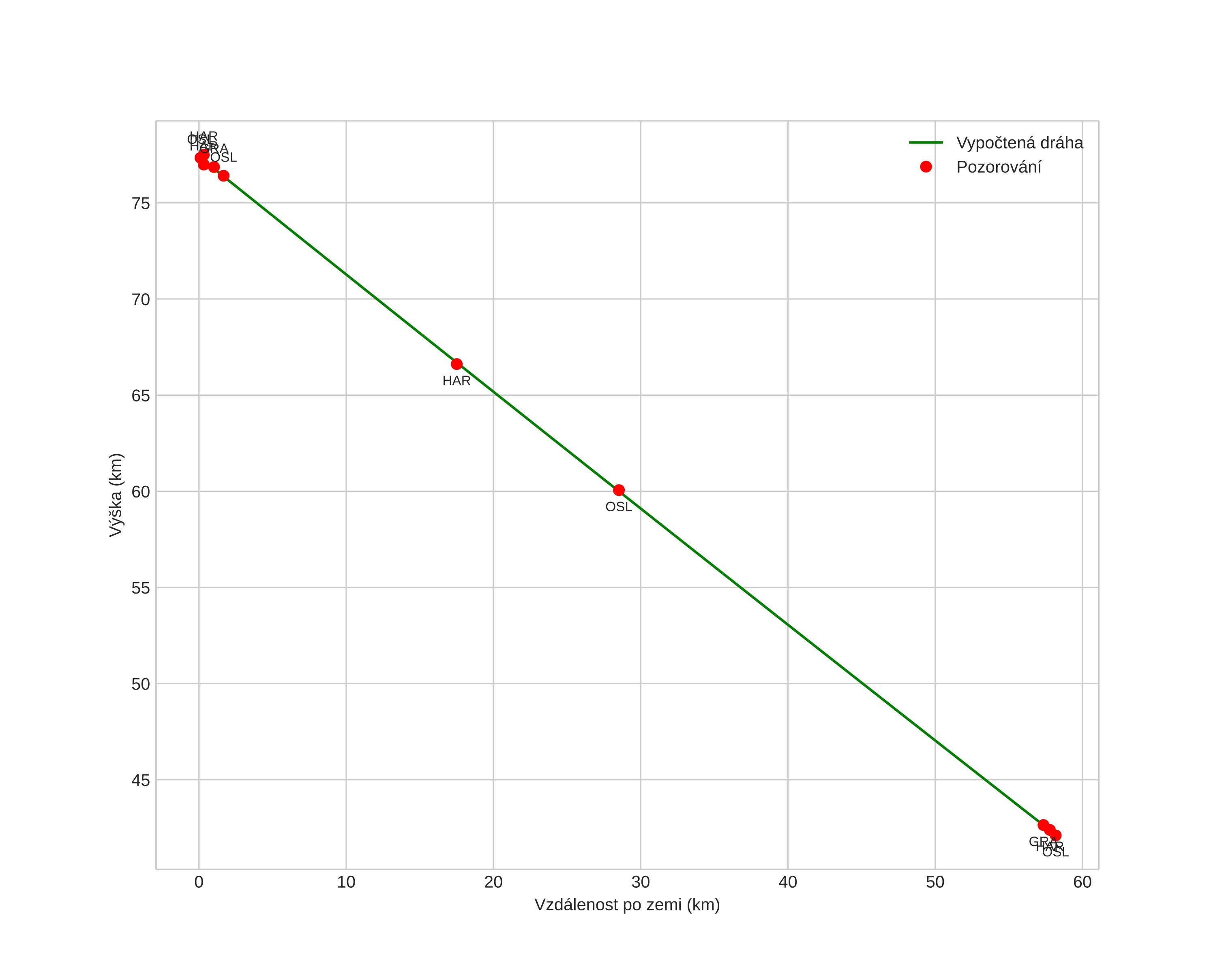
height profile
Atmosférická dráha meteoru:
Počáteční výška: 77,4 km
Konečná výška: 42,1 km
Počáteční poloha: 59,708N 10,053E
Konečná poloha: 59,380N 10,857E
Směr: 128,5°
Sklon: 31,2°
VstupnĂ­ rychlost: 13,3 km/s
Rektascenze radiantu: 04:25 (66,5°)
Deklinace radiantu: 29,6°
MeteorickĂ˝ roj: sporadickĂ˝
Elementy dráhy meteoroidu:
Vzdálenost v periheliu: 0,977 AU
Excentricita: 0,512
Sklon dráhy: 1,6°
Délka vzestupného uzlu: 11,4°
Argument perihelia: 158,9°
Střední anomálie: 5,9°
Epocha: 2016 MAR 31 22:58:08
orbit plot

NeinteraktivnĂ­ graf | InteraktivnĂ­ graf

position vs time
speed and acceleration