🇳🇴 🇬🇧 🇩🇪 🇨🇿 🇫🇮

Meteor, poloha: Eggebek 2016-04-01 00:18:42 UTC

Soubor KML  |  InteraktivnĂ­ mapa

Mapa zobrazuje dráhy meteoru. Světlejší čáry ukazují směry od pozorovacích stanic při objevení se meteoru a tmavší čáry, kde byl naposledy viděn. Modrá šipka značí viditelnou dráhu meteoru.

static map
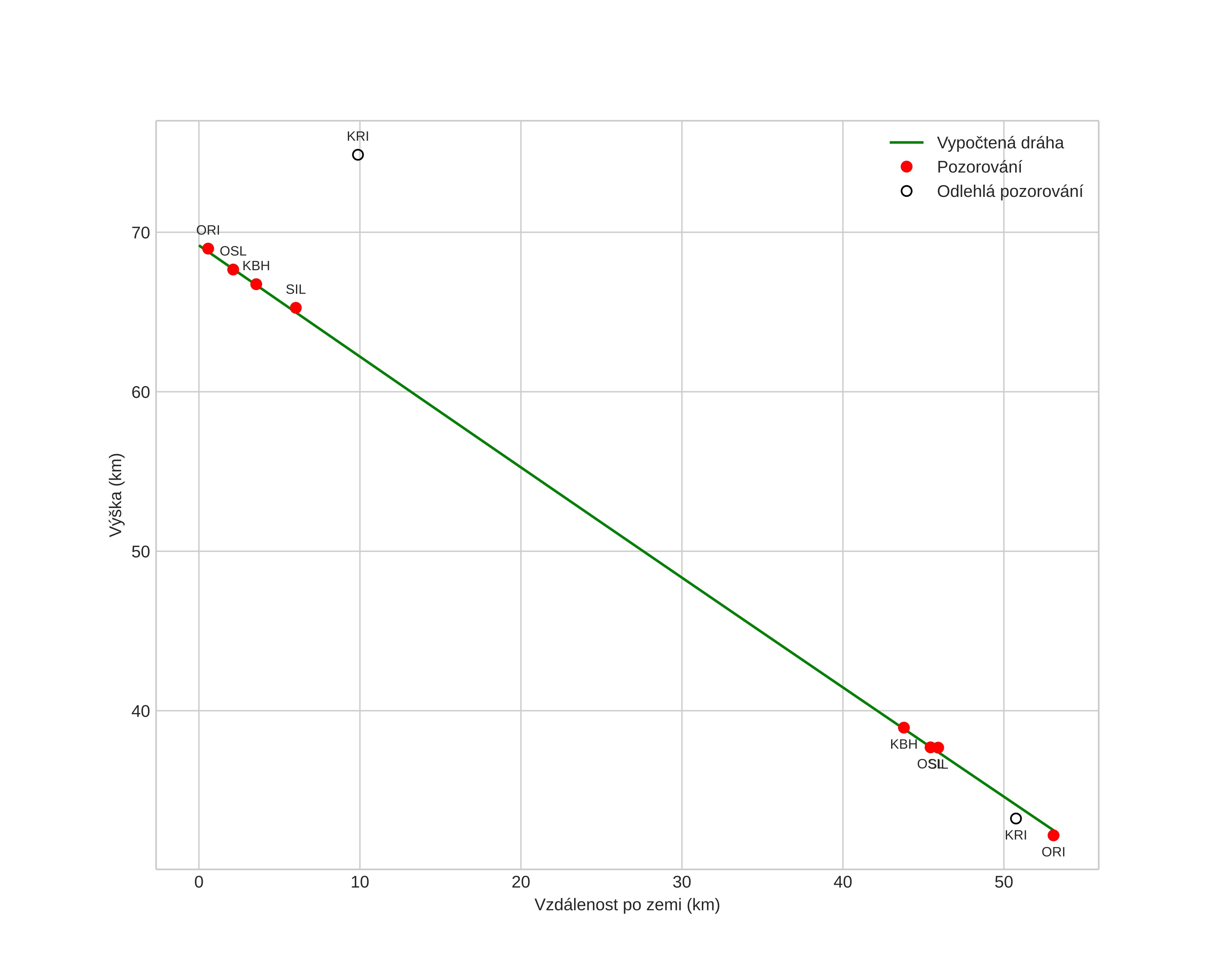
height profile
Atmosférická dráha meteoru:
Počáteční výška: 69,2 km
Konečná výška: 32,4 km
Počáteční poloha: 55,055N 9,579E
Konečná poloha: 54,593N 9,364E
Směr: 195,1°
Sklon: 34,7°
VstupnĂ­ rychlost: 13,9 km/s
Rektascenze radiantu: 00:06 (1,7°)
Deklinace radiantu: 53,0°
MeteorickĂ˝ roj: sporadickĂ˝
Elementy dráhy meteoroidu:
Vzdálenost v periheliu: 0,915 AU
Excentricita: 0,266
Sklon dráhy: 10,7°
Délka vzestupného uzlu: 11,5°
Argument perihelia: 126,7°
Střední anomálie: 31,7°
Epocha: 2016 APR 01 00:18:42
orbit plot

NeinteraktivnĂ­ graf | InteraktivnĂ­ graf

position vs time
speed and acceleration