🇳🇴 🇬🇧 🇩🇪 🇨🇿 🇫🇮

Meteor, poloha: Malung 2016-04-09 22:01:58 UTC

Soubor KML  |  InteraktivnĂ­ mapa

Mapa zobrazuje dráhy meteoru. Světlejší čáry ukazují směry od pozorovacích stanic při objevení se meteoru a tmavší čáry, kde byl naposledy viděn. Modrá šipka značí viditelnou dráhu meteoru.

static map
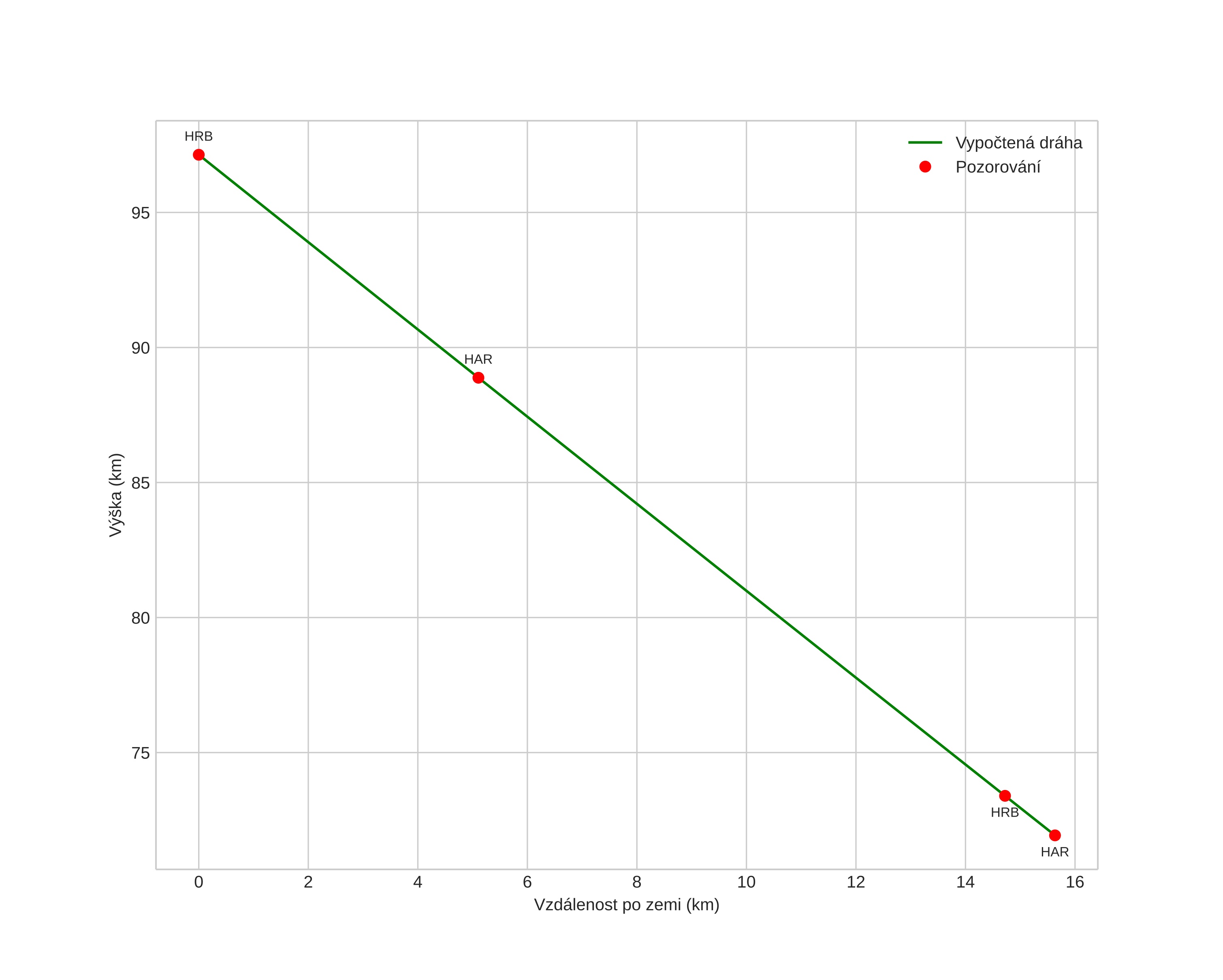
height profile
Atmosférická dráha meteoru:
Počáteční výška: 97,1 km
Konečná výška: 71,9 km
Počáteční poloha: 60,557N 13,805E
Konečná poloha: 60,671N 13,638E
Směr: 324,5°
Sklon: 58,2°
VstupnĂ­ rychlost: 27,5 km/s
Rektascenze radiantu: 13:35 (203,8°)
Deklinace radiantu: 30,6°
MeteorickĂ˝ roj: sporadickĂ˝
Elementy dráhy meteoroidu:
Vzdálenost v periheliu: 0,790 AU
Excentricita: 0,972
Sklon dráhy: 24,1°
Délka vzestupného uzlu: 20,3°
Argument perihelia: 235,2°
Střední anomálie: 359,8°
Epocha: 2016 APR 09 22:01:58
orbit plot

NeinteraktivnĂ­ graf | InteraktivnĂ­ graf

position vs time
speed and acceleration