🇳🇴 🇬🇧 🇩🇪 🇨🇿 🇫🇮

Meteor, poloha: FlĂĄ 2016-04-19 20:15:53 UTC

Soubor KML  |  InteraktivnĂ­ mapa

Mapa zobrazuje dráhy meteoru. Světlejší čáry ukazují směry od pozorovacích stanic při objevení se meteoru a tmavší čáry, kde byl naposledy viděn. Modrá šipka značí viditelnou dráhu meteoru.

static map
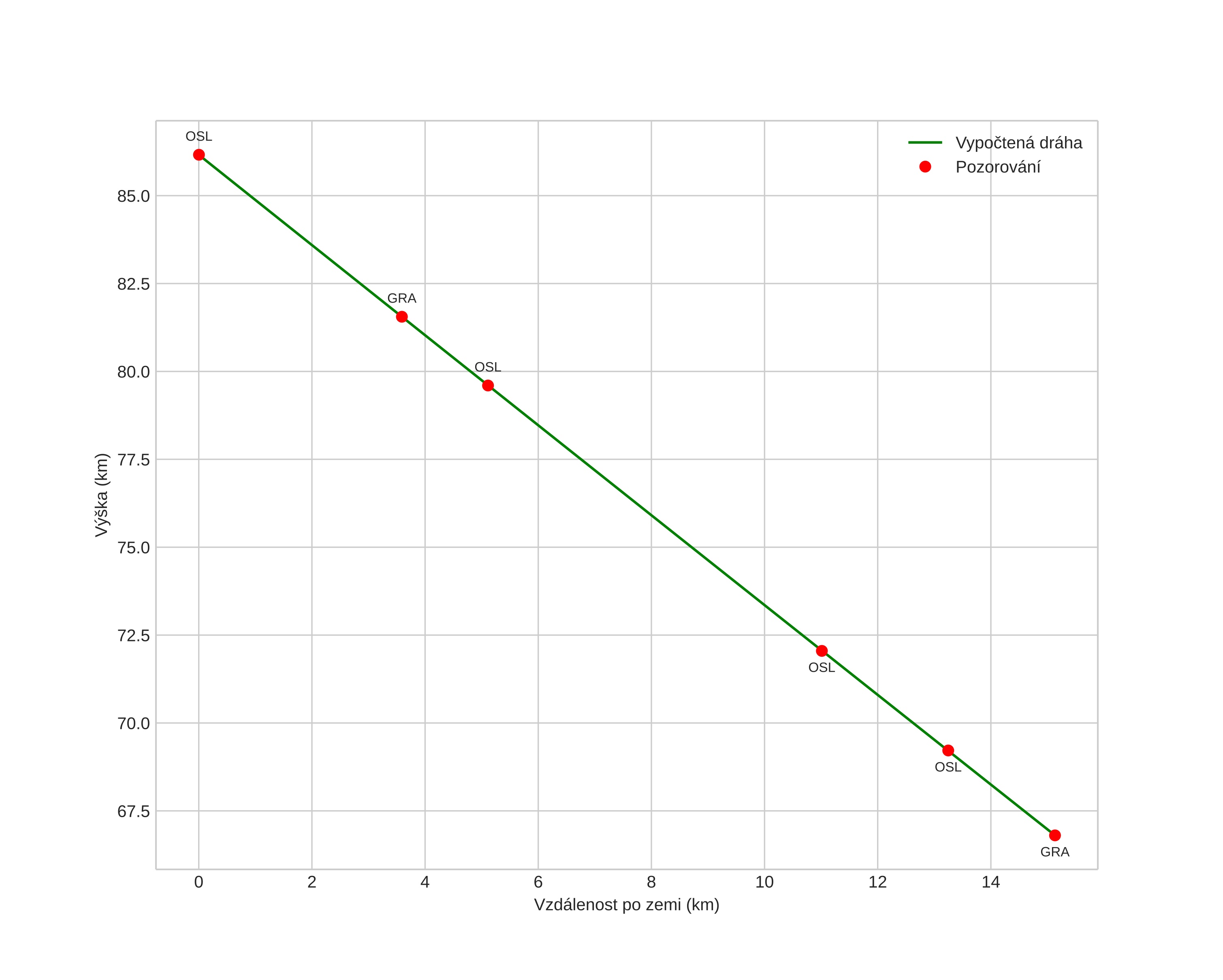
height profile
Atmosférická dráha meteoru:
Počáteční výška: 86,2 km
Konečná výška: 66,8 km
Počáteční poloha: 60,527N 9,584E
Konečná poloha: 60,467N 9,336E
Směr: 243,9°
Sklon: 52,0°
VstupnĂ­ rychlost: 24,9 km/s
Rektascenze radiantu: 15:55 (238,8°)
Deklinace radiantu: 54,0°
MeteorickĂ˝ roj: sporadickĂ˝
Elementy dráhy meteoroidu:
Vzdálenost v periheliu: 0,959 AU
Excentricita: 0,607
Sklon dráhy: 34,5°
Délka vzestupného uzlu: 30,0°
Argument perihelia: 208,3°
Střední anomálie: 354,3°
Epocha: 2016 APR 19 20:15:53
orbit plot

NeinteraktivnĂ­ graf | InteraktivnĂ­ graf

position vs time
speed and acceleration