🇳🇴 🇬🇧 🇩🇪 🇨🇿 🇫🇮

Meteor, poloha: Hanstholm 2016-04-22 01:11:07 UTC

Soubor KML  |  InteraktivnĂ­ mapa

Mapa zobrazuje dráhy meteoru. Světlejší čáry ukazují směry od pozorovacích stanic při objevení se meteoru a tmavší čáry, kde byl naposledy viděn. Modrá šipka značí viditelnou dráhu meteoru.

static map
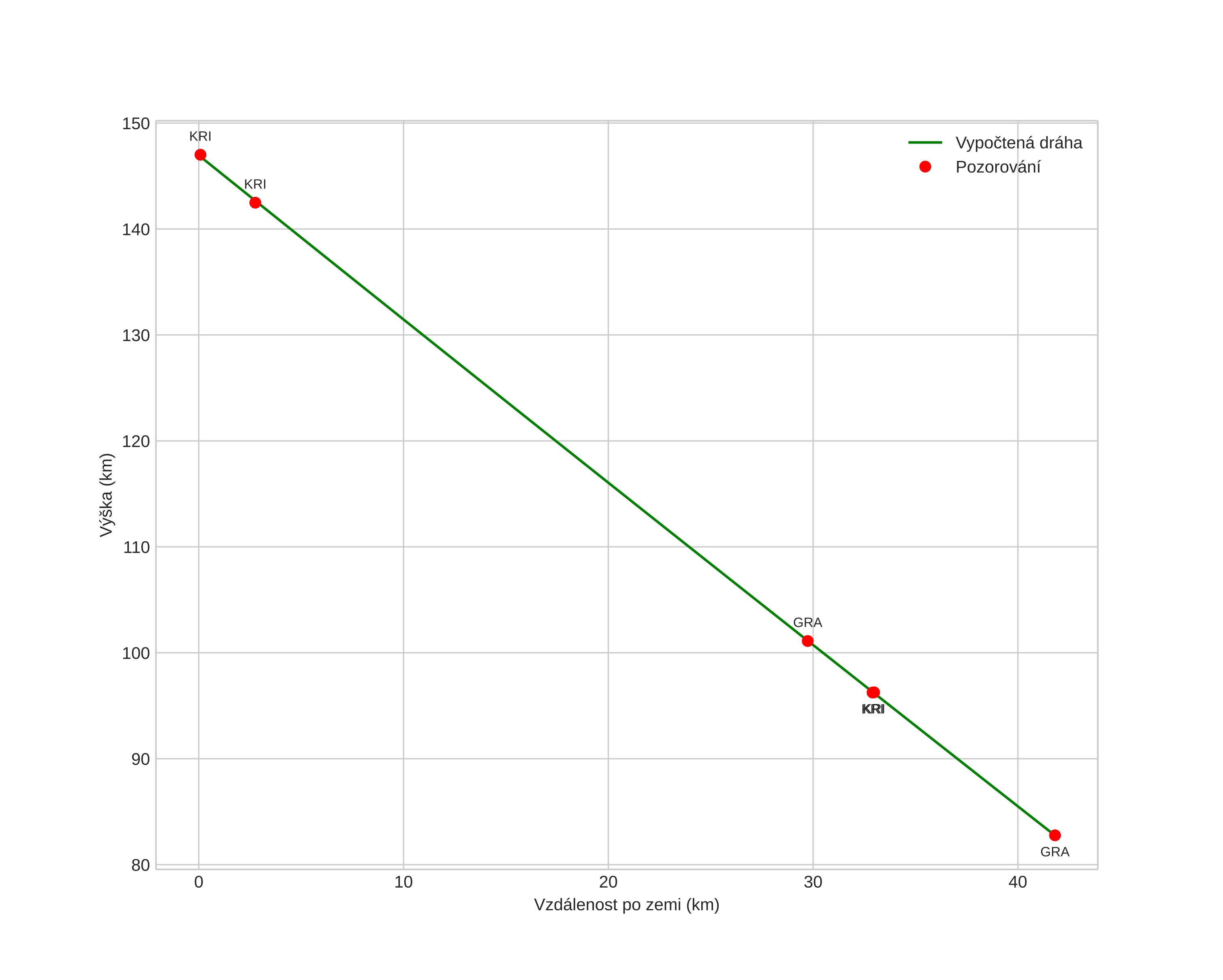
height profile
Atmosférická dráha meteoru:
Počáteční výška: 147,0 km
Konečná výška: 82,8 km
Počáteční poloha: 57,436N 9,263E
Konečná poloha: 57,629N 8,662E
Směr: 301,1°
Sklon: 56,9°
VstupnĂ­ rychlost: 73,0 km/s
Rektascenze radiantu: 18:05 (271,4°)
Deklinace radiantu: 33,5°
MeteorickĂ˝ roj: sporadickĂ˝
Elementy dráhy meteoroidu:
Vzdálenost v periheliu: 0,945 AU
Excentricita: 3,412
Sklon dráhy: 94,2°
Délka vzestupného uzlu: 32,1°
Argument perihelia: 202,7°
Střední anomálie: -42,3°
Epocha: 2016 APR 22 01:11:07
orbit plot

NeinteraktivnĂ­ graf | InteraktivnĂ­ graf

position vs time
speed and acceleration