🇳🇴 🇬🇧 🇩🇪 🇨🇿 🇫🇮

Meteor, poloha: Smögen 2016-05-11 20:39:42 UTC

Soubor KML  |  InteraktivnĂ­ mapa

Mapa zobrazuje dráhy meteoru. Světlejší čáry ukazují směry od pozorovacích stanic při objevení se meteoru a tmavší čáry, kde byl naposledy viděn. Modrá šipka značí viditelnou dráhu meteoru.

static map
height profile
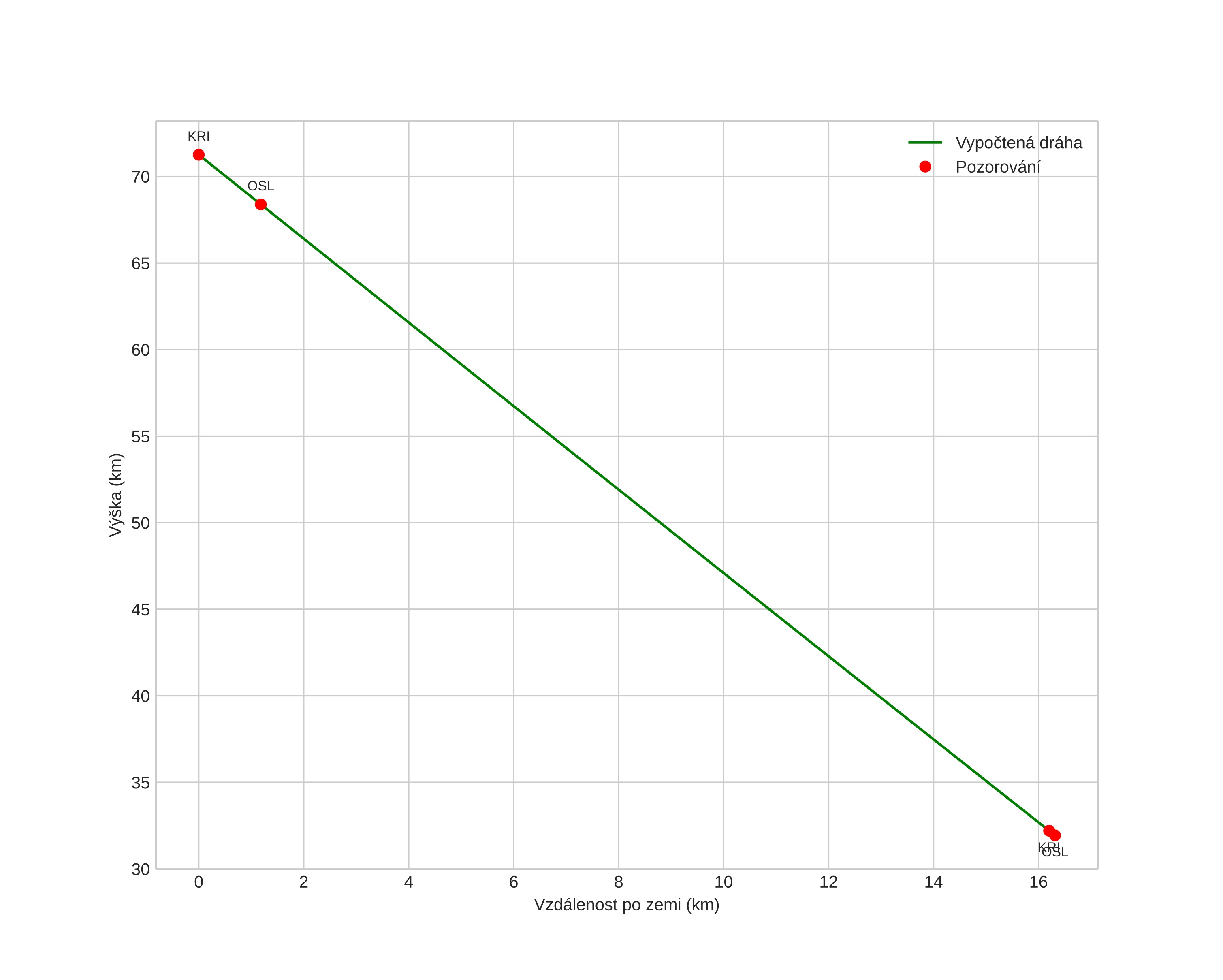
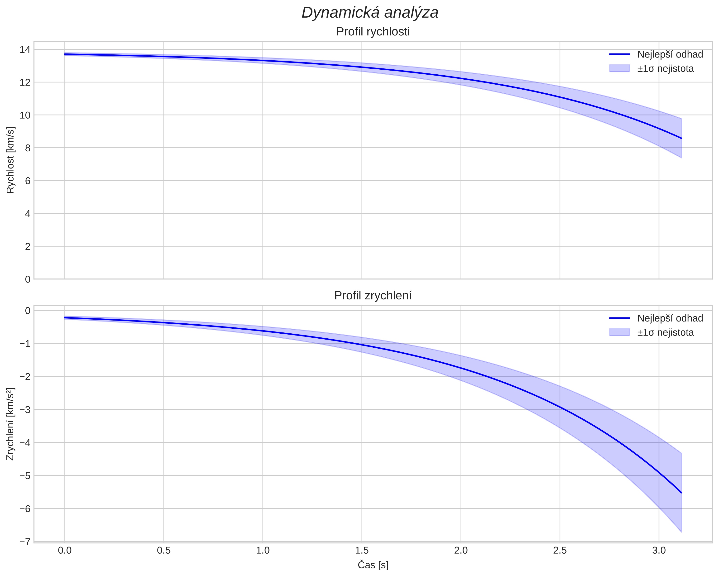
Atmosférická dráha meteoru:
Počáteční výška: 71,3 km
Konečná výška: 31,9 km
Počáteční poloha: 58,356N 10,319E
Konečná poloha: 58,413N 10,578E
Směr: 67,3°
Sklon: 67,5°
VstupnĂ­ rychlost: 13,7 km/s
Rektascenze radiantu: 10:13 (153,4°)
Deklinace radiantu: 40,2°
MeteorickĂ˝ roj: sporadickĂ˝
Elementy dráhy meteoroidu:
Vzdálenost v periheliu: 1,010 AU
Excentricita: 0,554
Sklon dráhy: 5,8°
Délka vzestupného uzlu: 51,4°
Argument perihelia: 177,6°
Střední anomálie: 0,6°
Epocha: 2016 MAY 11 20:39:42
orbit plot

NeinteraktivnĂ­ graf | InteraktivnĂ­ graf

position vs time
speed and acceleration

Kristiansand (KRI) cam3

fireball
gnomonic
Videa
• Gnomonická
• Gnomonická se souřadnicemi
Obrázky
• Gnomonická
• Gnomonická se souřadnicemi
• Gnomonická s popisky
• Původní
• Původní se souřadnicemi
• Původní s maskou
Textové soubory
• Detekce
• Pozorování
• Souřadnice
• Chybová hlášení
• Protokol
Jasnost