🇳🇴 🇬🇧 🇩🇪 🇨🇿 🇫🇮

Meteor, poloha: Lervik 2016-05-17 00:07:01 UTC

Soubor KML  |  InteraktivnĂ­ mapa

Mapa zobrazuje dráhy meteoru. Světlejší čáry ukazují směry od pozorovacích stanic při objevení se meteoru a tmavší čáry, kde byl naposledy viděn. Modrá šipka značí viditelnou dráhu meteoru.

static map
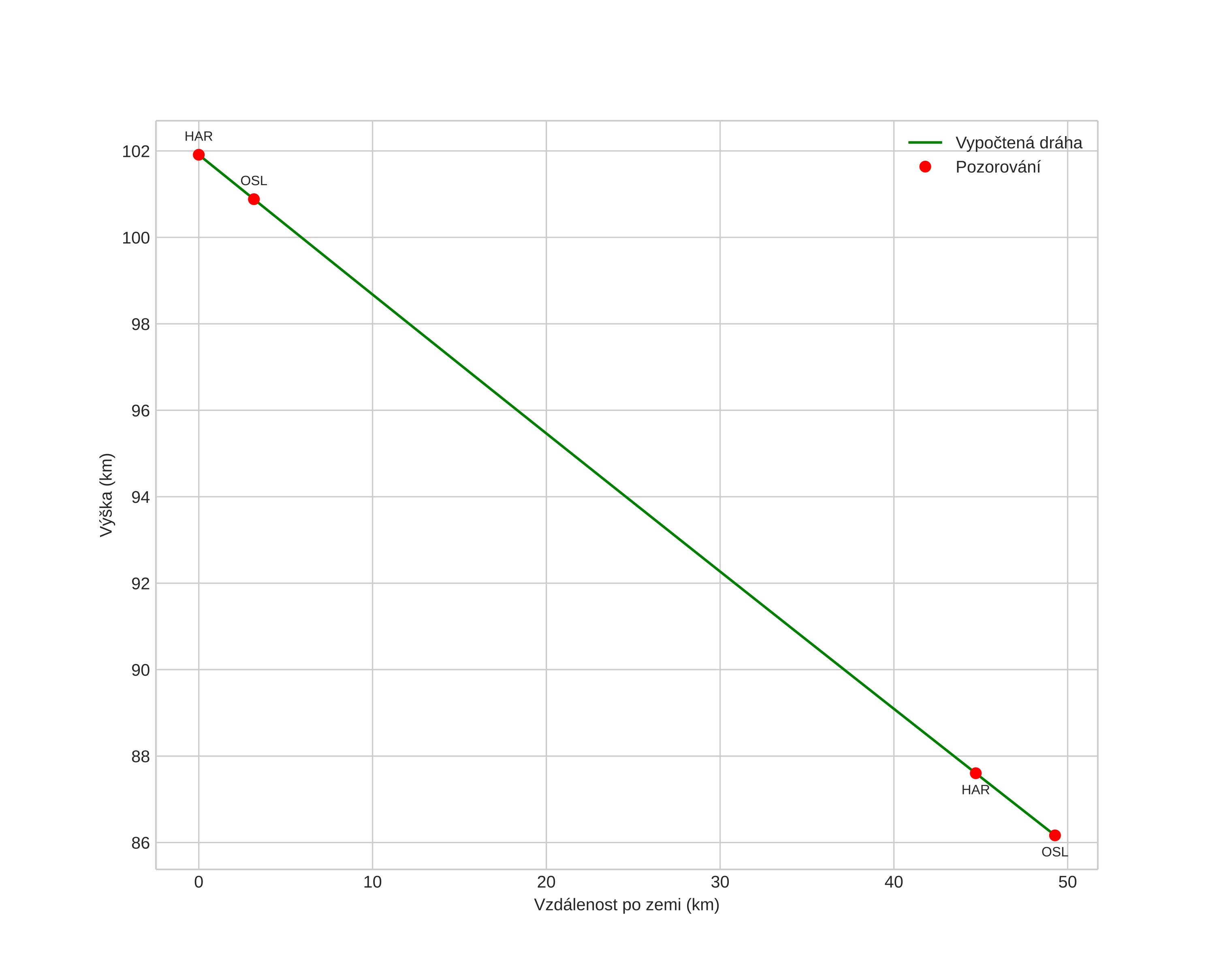
height profile
Atmosférická dráha meteoru:
Počáteční výška: 101,9 km
Konečná výška: 86,2 km
Počáteční poloha: 58,775N 10,807E
Konečná poloha: 59,210N 10,648E
Směr: 349,4°
Sklon: 17,7°
VstupnĂ­ rychlost: 40,3 km/s
Rektascenze radiantu: 17:10 (257,6°)
Deklinace radiantu: -14,7°
MeteorickĂ˝ roj: sporadickĂ˝
Elementy dráhy meteoroidu:
Vzdálenost v periheliu: 0,157 AU
Excentricita: 0,957
Sklon dráhy: 19,8°
Délka vzestupného uzlu: 56,3°
Argument perihelia: 316,7°
Střední anomálie: 355,0°
Epocha: 2016 MAY 17 00:07:01
orbit plot

NeinteraktivnĂ­ graf | InteraktivnĂ­ graf

position vs time
speed and acceleration