🇳🇴 🇬🇧 🇩🇪 🇨🇿 🇫🇮

Meteor, poloha: Egersund 2016-06-13 22:56:57 UTC

Soubor KML  |  InteraktivnĂ­ mapa

Mapa zobrazuje dráhy meteoru. Světlejší čáry ukazují směry od pozorovacích stanic při objevení se meteoru a tmavší čáry, kde byl naposledy viděn. Modrá šipka značí viditelnou dráhu meteoru.

static map
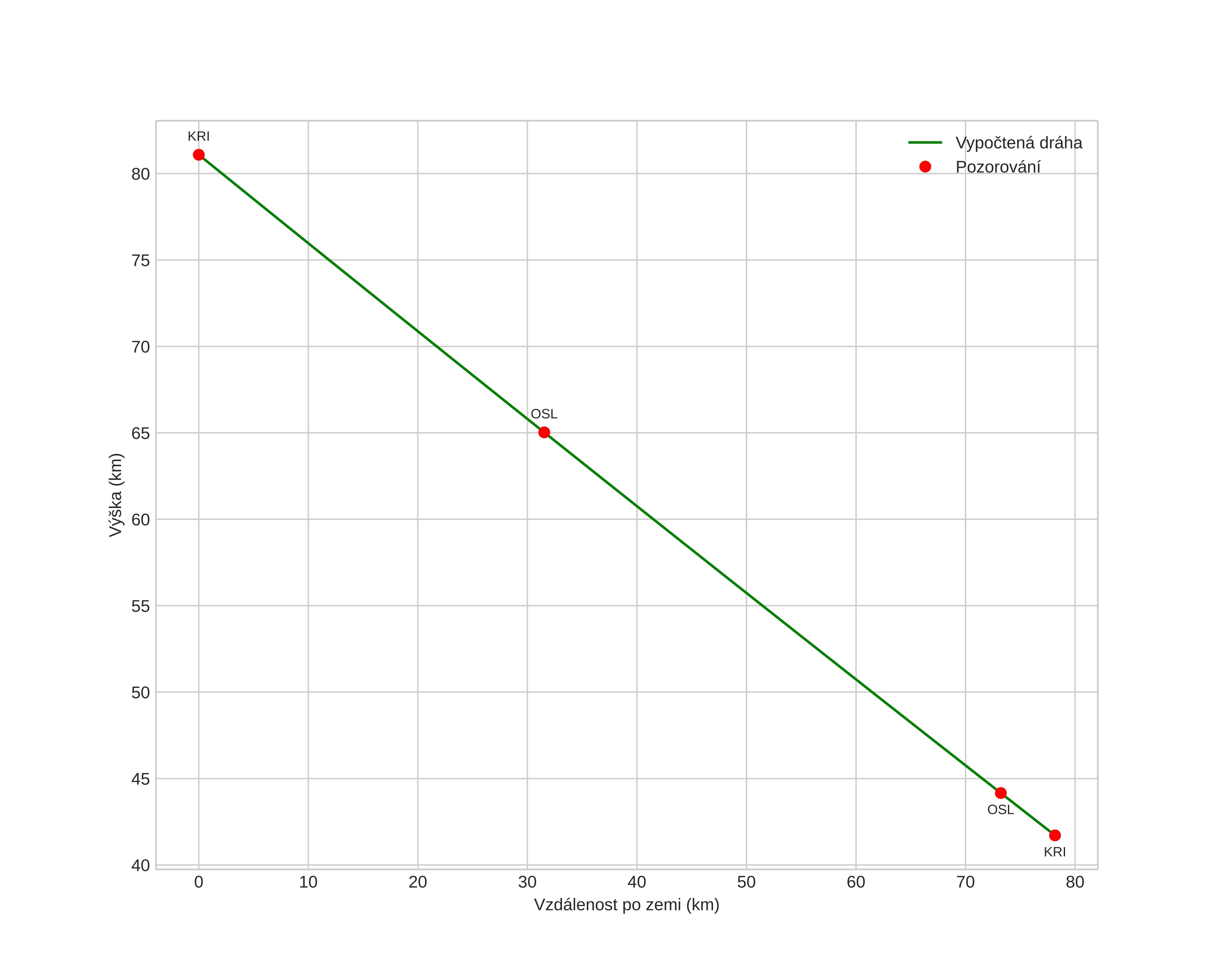
height profile
Atmosférická dráha meteoru:
Počáteční výška: 81,1 km
Konečná výška: 41,7 km
Počáteční poloha: 57,697N 5,971E
Konečná poloha: 58,395N 6,116E
Směr: 6,2°
Sklon: 26,8°
VstupnĂ­ rychlost: 17,5 km/s
Rektascenze radiantu: 16:22 (245,6°)
Deklinace radiantu: -14,3°
MeteorickĂ˝ roj: sporadickĂ˝
Elementy dráhy meteoroidu:
Vzdálenost v periheliu: 0,829 AU
Excentricita: 0,554
Sklon dráhy: 2,9°
Délka vzestupného uzlu: 83,2°
Argument perihelia: 241,0°
Střední anomálie: 343,2°
Epocha: 2016 JUN 13 22:56:57
orbit plot

NeinteraktivnĂ­ graf | InteraktivnĂ­ graf

position vs time
speed and acceleration

Kristiansand (KRI) cam1

fireball
gnomonic
Videa
• Gnomonická
• Gnomonická se souřadnicemi
Obrázky
• Gnomonická
• Gnomonická se souřadnicemi
• Gnomonická s popisky
• Původní
• Původní se souřadnicemi
• Původní s maskou
Textové soubory
• Detekce
• Pozorování
• Souřadnice
• Chybová hlášení
• Protokol
Jasnost