🇳🇴 🇬🇧 🇩🇪 🇨🇿 🇫🇮

Meteor, poloha: Grebbestad 2016-07-04 22:28:51 UTC

Soubor KML  |  InteraktivnĂ­ mapa

Mapa zobrazuje dráhy meteoru. Světlejší čáry ukazují směry od pozorovacích stanic při objevení se meteoru a tmavší čáry, kde byl naposledy viděn. Modrá šipka značí viditelnou dráhu meteoru.

static map
height profile
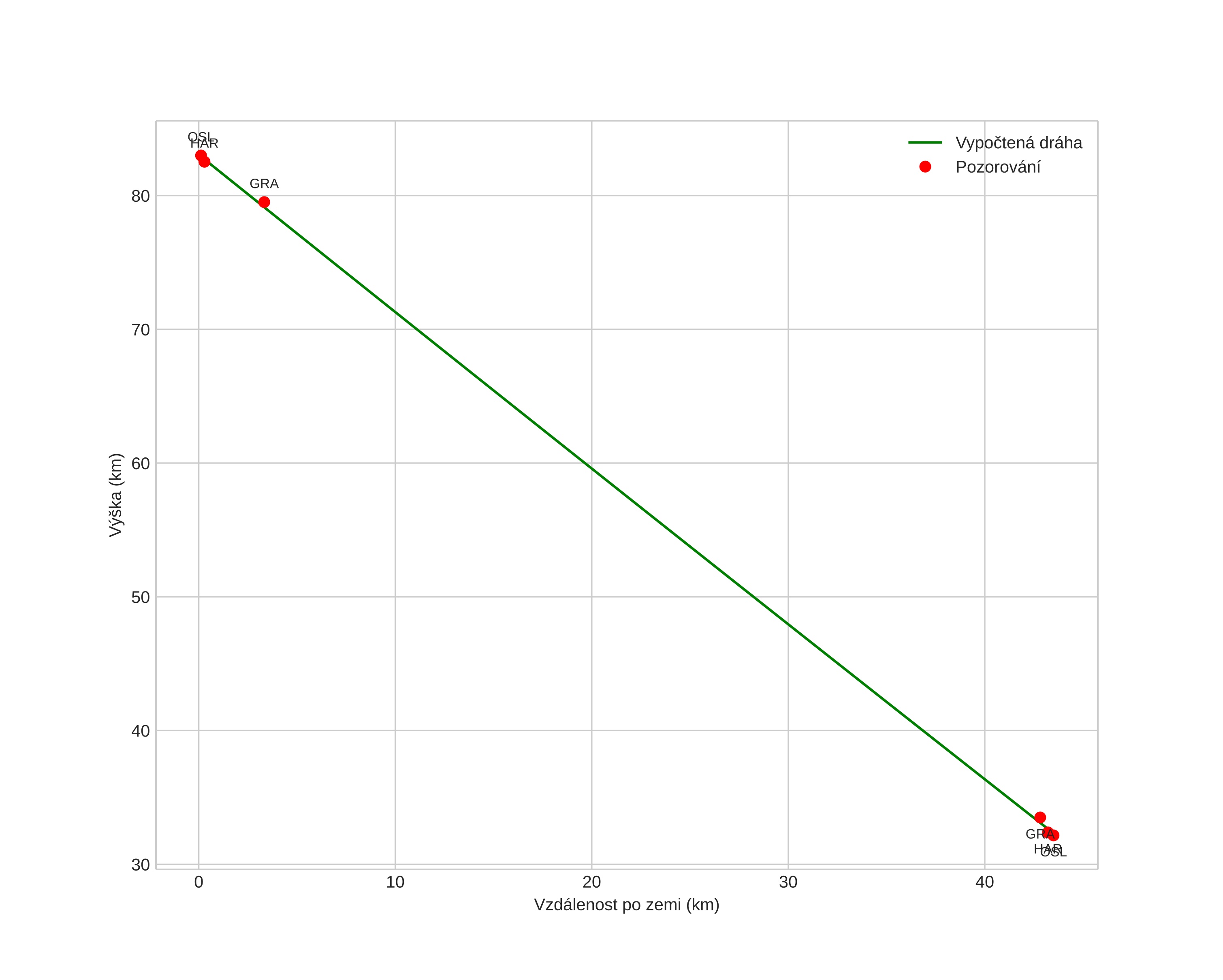
Atmosférická dráha meteoru:
Počáteční výška: 83,0 km
Konečná výška: 32,2 km
Počáteční poloha: 58,973N 10,601E
Konečná poloha: 58,735N 11,203E
Směr: 127,1°
Sklon: 49,4°
VstupnĂ­ rychlost: 16,5 km/s
Rektascenze radiantu: 11:54 (178,6°)
Deklinace radiantu: 53,6°
MeteorickĂ˝ roj: sporadickĂ˝
Elementy dráhy meteoroidu:
Vzdálenost v periheliu: 0,985 AU
Excentricita: 0,589
Sklon dráhy: 14,3°
Délka vzestupného uzlu: 103,1°
Argument perihelia: 156,1°
Střední anomálie: 5,1°
Epocha: 2016 JUL 04 22:28:51
orbit plot

NeinteraktivnĂ­ graf | InteraktivnĂ­ graf

position vs time
speed and acceleration

Solobservatoriet (HAR) cam4


gnomonic
Videa
• Gnomonická
• Gnomonická se souřadnicemi
• Původní
• Původní se souřadnicemi
Obrázky
• Gnomonická
• Gnomonická se souřadnicemi
• Gnomonická s popisky
• Původní
• Původní se souřadnicemi
• Původní s maskou
Textové soubory
• Detekce
• Pozorování
• Souřadnice
• Protokol
Jasnost