🇳🇴 🇬🇧 🇩🇪 🇨🇿 🇫🇮

Meteor, poloha: Helgoland 2016-07-06 21:35:31 UTC

Soubor KML  |  InteraktivnĂ­ mapa

Mapa zobrazuje dráhy meteoru. Světlejší čáry ukazují směry od pozorovacích stanic při objevení se meteoru a tmavší čáry, kde byl naposledy viděn. Modrá šipka značí viditelnou dráhu meteoru.

static map
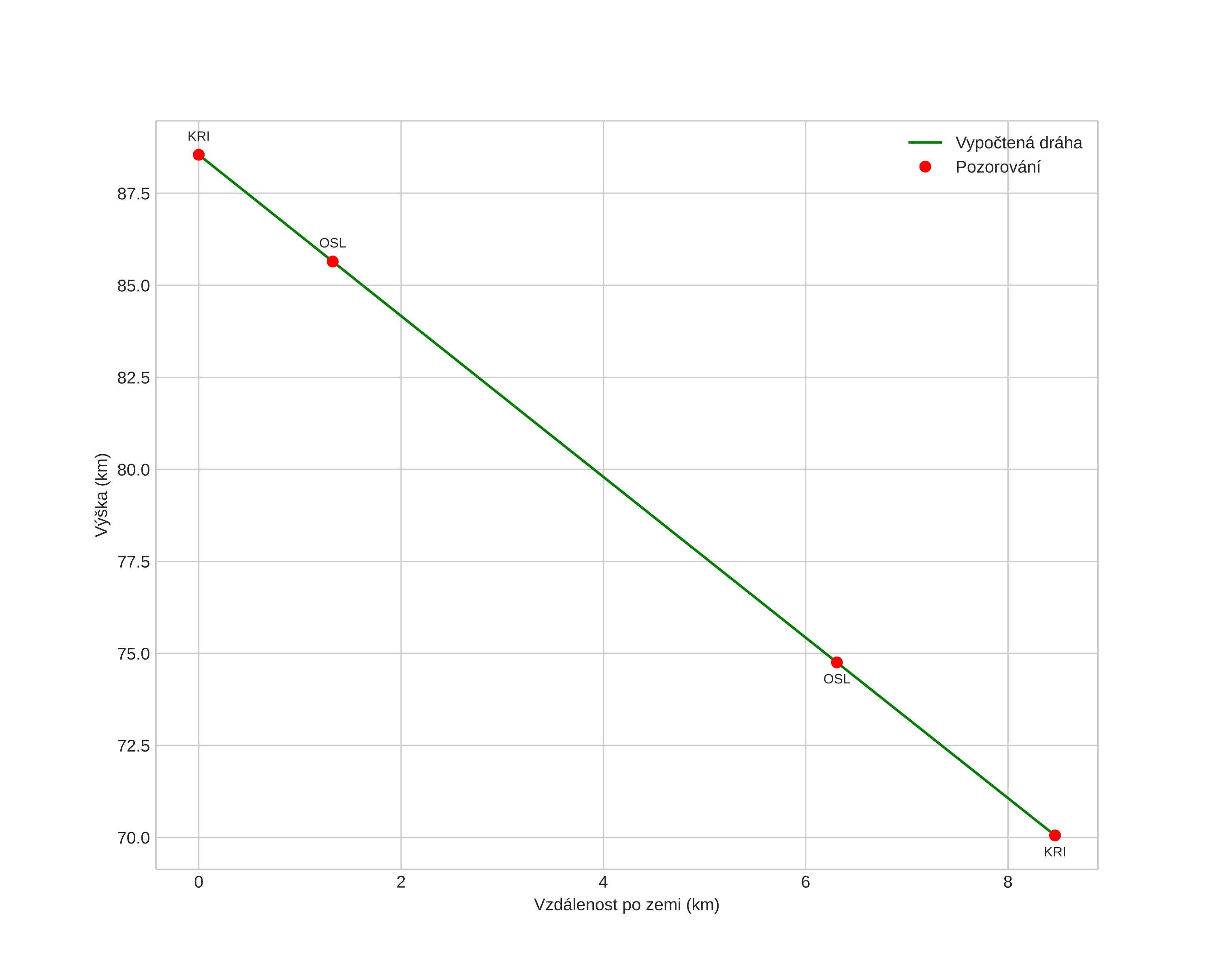
height profile
Atmosférická dráha meteoru:
Počáteční výška: 88,5 km
Konečná výška: 70,1 km
Počáteční poloha: 54,944N 7,202E
Konečná poloha: 54,925N 7,330E
Směr: 104,6°
Sklon: 65,3°
VstupnĂ­ rychlost: 28,3 km/s
Rektascenze radiantu: 14:04 (211,1°)
Deklinace radiantu: 52,8°
MeteorickĂ˝ roj: sporadickĂ˝
Elementy dráhy meteoroidu:
Vzdálenost v periheliu: 1,010 AU
Excentricita: 1,628
Sklon dráhy: 27,9°
Délka vzestupného uzlu: 105,0°
Argument perihelia: 171,8°
Střední anomálie: 2,5°
Epocha: 2016 JUL 06 21:35:31
orbit plot

NeinteraktivnĂ­ graf | InteraktivnĂ­ graf

position vs time
speed and acceleration

Kristiansand (KRI) cam2

fireball
gnomonic
Videa
• Gnomonická
• Gnomonická se souřadnicemi
Obrázky
• Gnomonická
• Gnomonická se souřadnicemi
• Gnomonická s popisky
• Původní
• Původní se souřadnicemi
• Původní s maskou
Textové soubory
• Detekce
• Pozorování
• Souřadnice
• Chybová hlášení
• Protokol
Jasnost