🇳🇴 🇬🇧 🇩🇪 🇨🇿 🇫🇮

Meteor, poloha: Rollag 2016-07-06 23:05:40 UTC

Soubor KML  |  InteraktivnĂ­ mapa

Mapa zobrazuje dráhy meteoru. Světlejší čáry ukazují směry od pozorovacích stanic při objevení se meteoru a tmavší čáry, kde byl naposledy viděn. Modrá šipka značí viditelnou dráhu meteoru.

static map
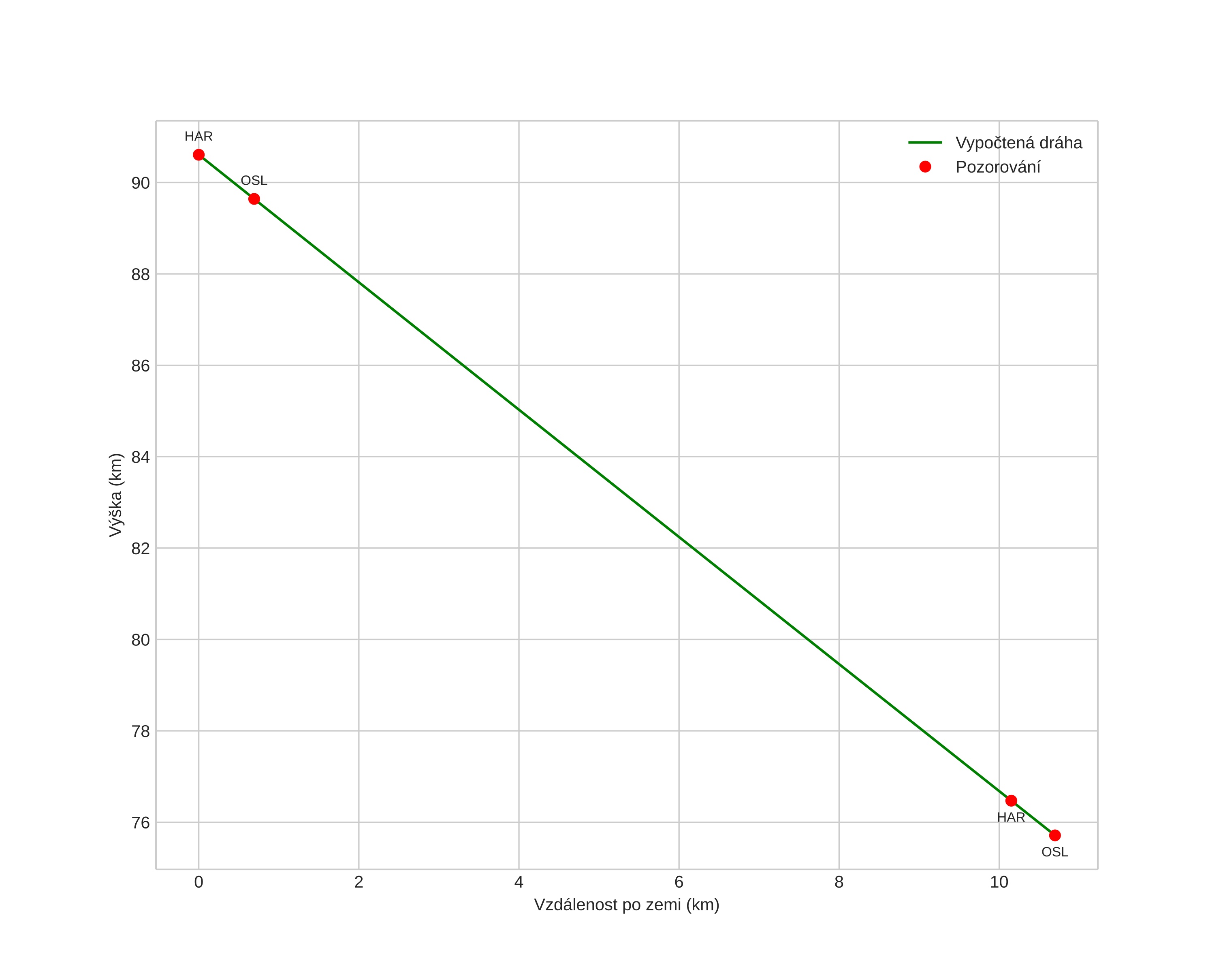
height profile
Atmosférická dráha meteoru:
Počáteční výška: 90,6 km
Konečná výška: 75,7 km
Počáteční poloha: 59,810N 9,211E
Konečná poloha: 59,893N 9,309E
Směr: 30,7°
Sklon: 54,3°
VstupnĂ­ rychlost: 21,0 km/s
Rektascenze radiantu: 17:18 (259,7°)
Deklinace radiantu: 23,7°
MeteorickĂ˝ roj: sporadickĂ˝
Elementy dráhy meteoroidu:
Vzdálenost v periheliu: 0,928 AU
Excentricita: 0,772
Sklon dráhy: 20,2°
Délka vzestupného uzlu: 105,1°
Argument perihelia: 217,0°
Střední anomálie: 356,8°
Epocha: 2016 JUL 06 23:05:40
orbit plot

NeinteraktivnĂ­ graf | InteraktivnĂ­ graf

position vs time
speed and acceleration