🇳🇴 🇬🇧 🇩🇪 🇨🇿 🇫🇮

Meteor, poloha: Uddevalla 2016-07-10 00:54:46 UTC

Soubor KML  |  InteraktivnĂ­ mapa

Mapa zobrazuje dráhy meteoru. Světlejší čáry ukazují směry od pozorovacích stanic při objevení se meteoru a tmavší čáry, kde byl naposledy viděn. Modrá šipka značí viditelnou dráhu meteoru.

static map
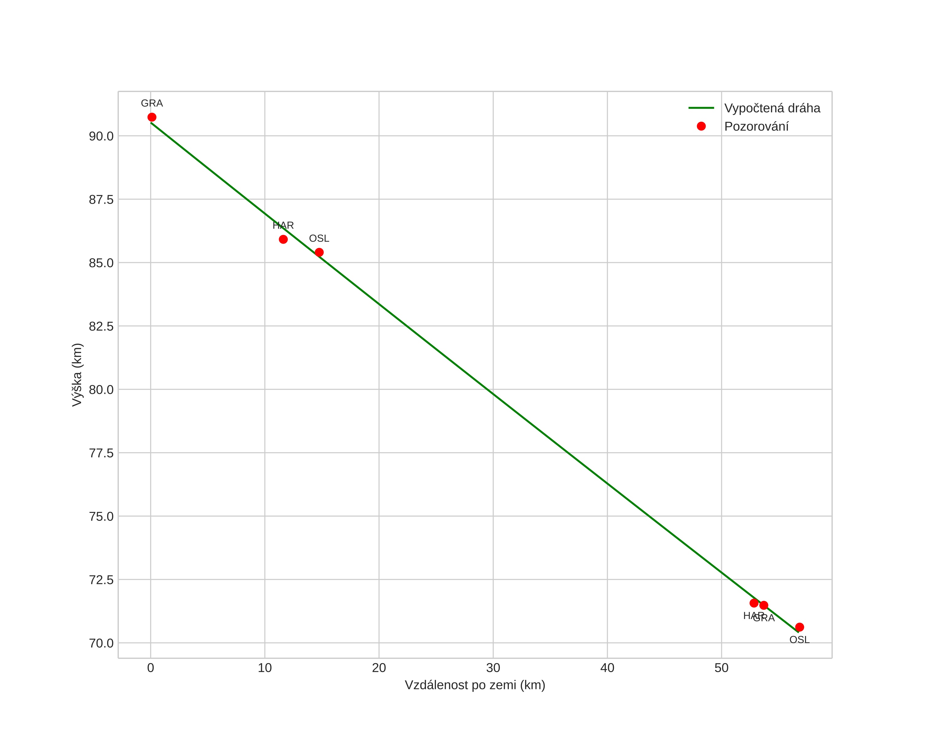
height profile
Atmosférická dráha meteoru:
Počáteční výška: 90,5 km
Konečná výška: 70,4 km
Počáteční poloha: 58,654N 12,830E
Konečná poloha: 58,386N 11,997E
Směr: 238,7°
Sklon: 19,5°
VstupnĂ­ rychlost: 51,8 km/s
Rektascenze radiantu: 04:08 (62,1°)
Deklinace radiantu: 31,9°
MeteorickĂ˝ roj: sporadickĂ˝
Elementy dráhy meteoroidu:
Vzdálenost v periheliu: 0,061 AU
Excentricita: 0,981
Sklon dráhy: 111,7°
Délka vzestupného uzlu: 108,0°
Argument perihelia: 25,9°
Střední anomálie: 5,7°
Epocha: 2016 JUL 10 00:54:46
orbit plot

NeinteraktivnĂ­ graf | InteraktivnĂ­ graf

position vs time
speed and acceleration

Solobservatoriet (HAR) cam4


gnomonic
Videa
• Gnomonická
• Původní
• Původní se souřadnicemi
Obrázky
• Gnomonická
• Gnomonická se souřadnicemi
• Gnomonická s popisky
• Původní
• Původní se souřadnicemi
• Původní s maskou
Textové soubory
• Detekce
• Pozorování
• Souřadnice
• Chybová hlášení
• Protokol
Jasnost