🇳🇴 🇬🇧 🇩🇪 🇨🇿 🇫🇮

Meteor over Kjenn 2016-07-31 00:53:23 UTC

Gran – 1
Gran – 1
Voksenlia – 3
Voksenlia – 3

KML-fil  | Interaktivt kart

map

Kartet viser peilingene for meteoren. De lysere linjene viser retningene fra observasjonsstedene for meteorens tilsynekomst, og de mørkere linjene viser hvor den sist kunne sees. Den blå pila viser meteorens synlige ferd.

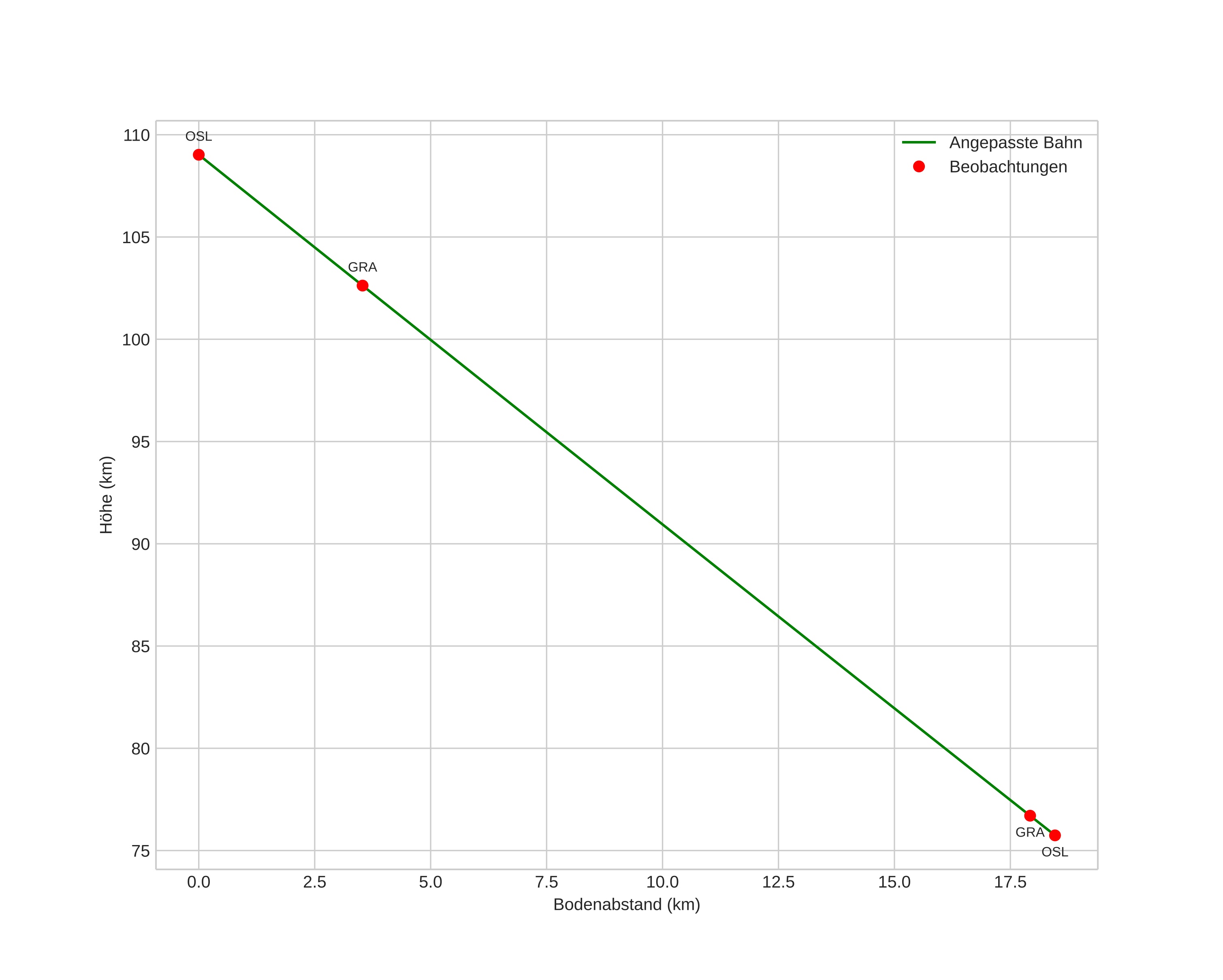
height profile
Meteorens atmosfæriske bane:
Starthøgde: 109,0 km
Slutthøgde: 75,7 km
Startposisjon: 60,021N 11,236E
Sluttposisjon: 59,977N 10,915E
Retning: 254,8°
Fallvinkel: 61,0°
Inngangshastighet: 62,4 km/s
Radiantens rektascensjon: 01:53 (28,3°)
Radiantens deklinasjon: 55,0°
Meteorsverm: Perseidene
Meteoroidens baneelement:
Perihelavstand: 0,979 AU
Eksentrisitet: 1,180
Inklinasjon: 113,0°
Knutelengde: 128,0°
Perihelargument: 159,2°
Midlere anomali: 1,1°
Epoke: 2016 JUL 31 00:53:23
orbit

Ikke-interaktivt plott | Interaktivt plott

position vs time
speed & acceleration