🇳🇴 🇬🇧 🇩🇪 🇨🇿 🇫🇮

Meteor, poloha: Kjenn 2016-07-31 00:53:23 UTC

Gran – 1
Gran – 1
Voksenlia – 3
Voksenlia – 3

Soubor KML  | Interaktivní mapa

map

Mapa zobrazuje dráhy meteoru. Světlejší čáry ukazují směry od pozorovacích stanic při objevení se meteoru a tmavší čáry, kde byl naposledy viděn. Modrá šipka značí viditelnou dráhu meteoru.

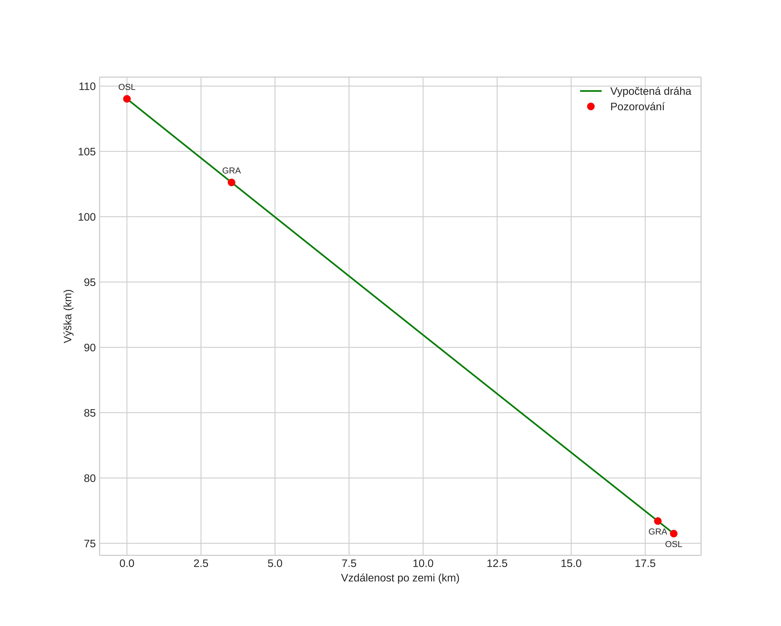
height profile
Atmosférická dráha meteoru:
Počáteční výška: 109,0 km
Konečná výška: 75,7 km
Počáteční poloha: 60,021N 11,236E
Konečná poloha: 59,977N 10,915E
Směr: 254,8°
Sklon: 61,0°
Vstupní rychlost: 62,4 km/s
Rektascenze radiantu: 01:53 (28,3°)
Deklinace radiantu: 55,0°
Meteorický roj: Perseidy
Elementy dráhy meteoroidu:
Vzdálenost v periheliu: 0,979 AU
Excentricita: 1,180
Sklon dráhy: 113,0°
Délka vzestupného uzlu: 128,0°
Argument perihelia: 159,2°
Střední anomálie: 1,1°
Epocha: 2016 JUL 31 00:53:23
orbit

Neinteraktivní graf | Interaktivní graf

position vs time
speed & acceleration