🇳🇴 🇬🇧 🇩🇪 🇨🇿 🇫🇮

Meteor, poloha: Ed 2016-07-31 21:07:44 UTC

Soubor KML  |  InteraktivnĂ­ mapa

Mapa zobrazuje dráhy meteoru. Světlejší čáry ukazují směry od pozorovacích stanic při objevení se meteoru a tmavší čáry, kde byl naposledy viděn. Modrá šipka značí viditelnou dráhu meteoru.

static map
height profile
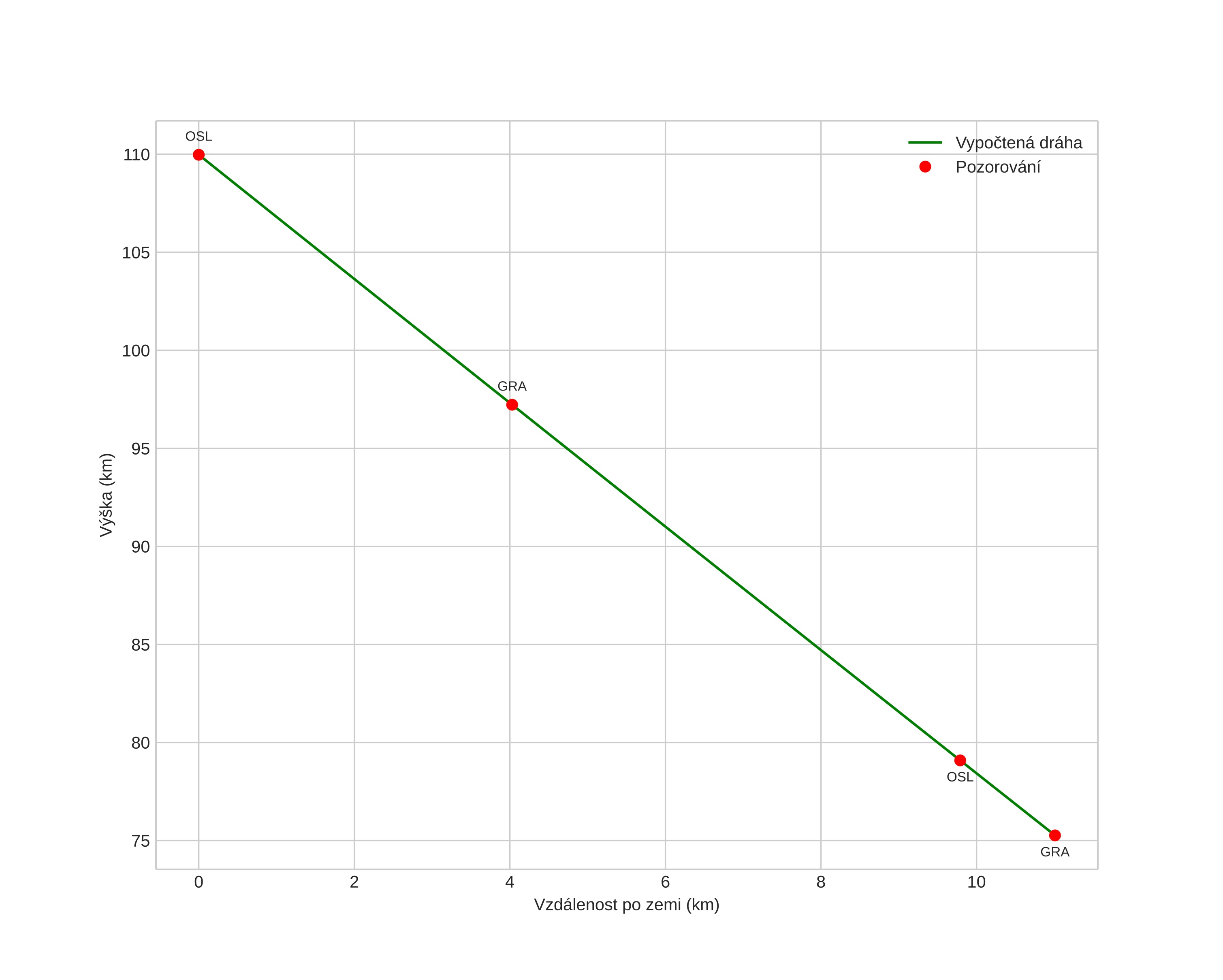
Atmosférická dráha meteoru:
Počáteční výška: 110,0 km
Konečná výška: 75,3 km
Počáteční poloha: 58,919N 11,961E
Konečná poloha: 58,965N 11,792E
Směr: 298,0°
Sklon: 72,4°
VstupnĂ­ rychlost: 33,7 km/s
Rektascenze radiantu: 20:07 (302,0°)
Deklinace radiantu: 47,5°
MeteorickĂ˝ roj: sporadickĂ˝
Elementy dráhy meteoroidu:
Vzdálenost v periheliu: 0,901 AU
Excentricita: 0,878
Sklon dráhy: 48,8°
Délka vzestupného uzlu: 128,8°
Argument perihelia: 220,6°
Střední anomálie: 358,6°
Epocha: 2016 JUL 31 21:07:44
orbit plot

NeinteraktivnĂ­ graf | InteraktivnĂ­ graf

position vs time
speed and acceleration