🇳🇴 🇬🇧 🇩🇪 🇨🇿 🇫🇮

Meteor, poloha: Vestbygd 2016-08-02 20:51:32 UTC

Soubor KML  |  InteraktivnĂ­ mapa

Mapa zobrazuje dráhy meteoru. Světlejší čáry ukazují směry od pozorovacích stanic při objevení se meteoru a tmavší čáry, kde byl naposledy viděn. Modrá šipka značí viditelnou dráhu meteoru.

static map
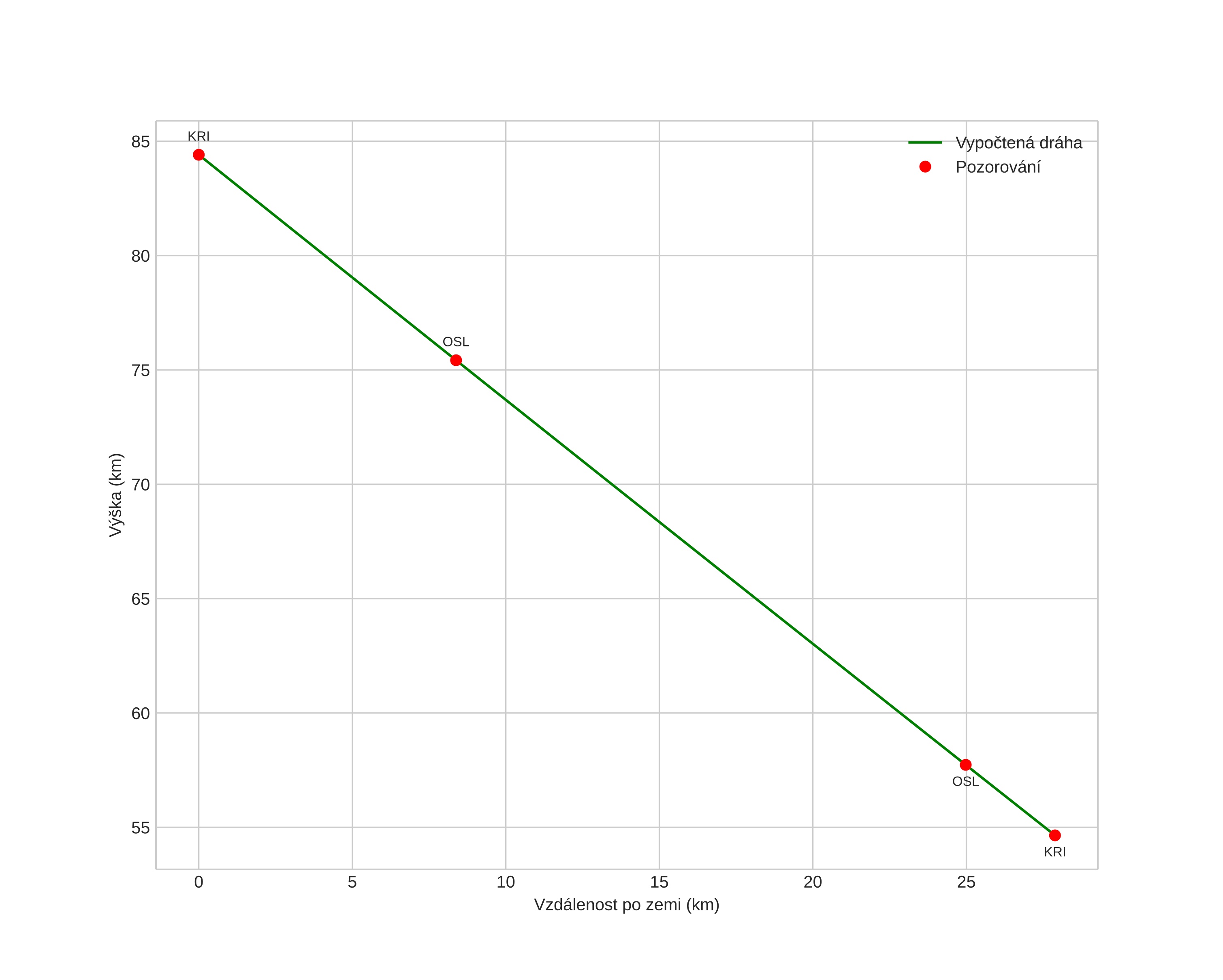
height profile
Atmosférická dráha meteoru:
Počáteční výška: 84,4 km
Konečná výška: 54,6 km
Počáteční poloha: 57,240N 6,622E
Konečná poloha: 57,486N 6,526E
Směr: 348,2°
Sklon: 46,9°
VstupnĂ­ rychlost: 18,2 km/s
Rektascenze radiantu: 18:36 (279,2°)
Deklinace radiantu: 9,3°
MeteorickĂ˝ roj: sporadickĂ˝
Elementy dráhy meteoroidu:
Vzdálenost v periheliu: 0,912 AU
Excentricita: 0,672
Sklon dráhy: 12,3°
Délka vzestupného uzlu: 130,7°
Argument perihelia: 221,5°
Střední anomálie: 353,5°
Epocha: 2016 AUG 02 20:51:32
orbit plot

NeinteraktivnĂ­ graf | InteraktivnĂ­ graf

position vs time
speed and acceleration

Kristiansand (KRI) cam1

fireball
gnomonic
Videa
• Gnomonická
• Gnomonická se souřadnicemi
Obrázky
• Gnomonická
• Gnomonická se souřadnicemi
• Gnomonická s popisky
• Původní
• Původní se souřadnicemi
• Původní s maskou
Textové soubory
• Detekce
• Pozorování
• Souřadnice
• Chybová hlášení
• Protokol
Jasnost