🇳🇴 🇬🇧 🇩🇪 🇨🇿 🇫🇮

Meteor, poloha: Kviteseid 2016-08-10 21:37:41 UTC

Soubor KML  |  InteraktivnĂ­ mapa

Mapa zobrazuje dráhy meteoru. Světlejší čáry ukazují směry od pozorovacích stanic při objevení se meteoru a tmavší čáry, kde byl naposledy viděn. Modrá šipka značí viditelnou dráhu meteoru.

static map
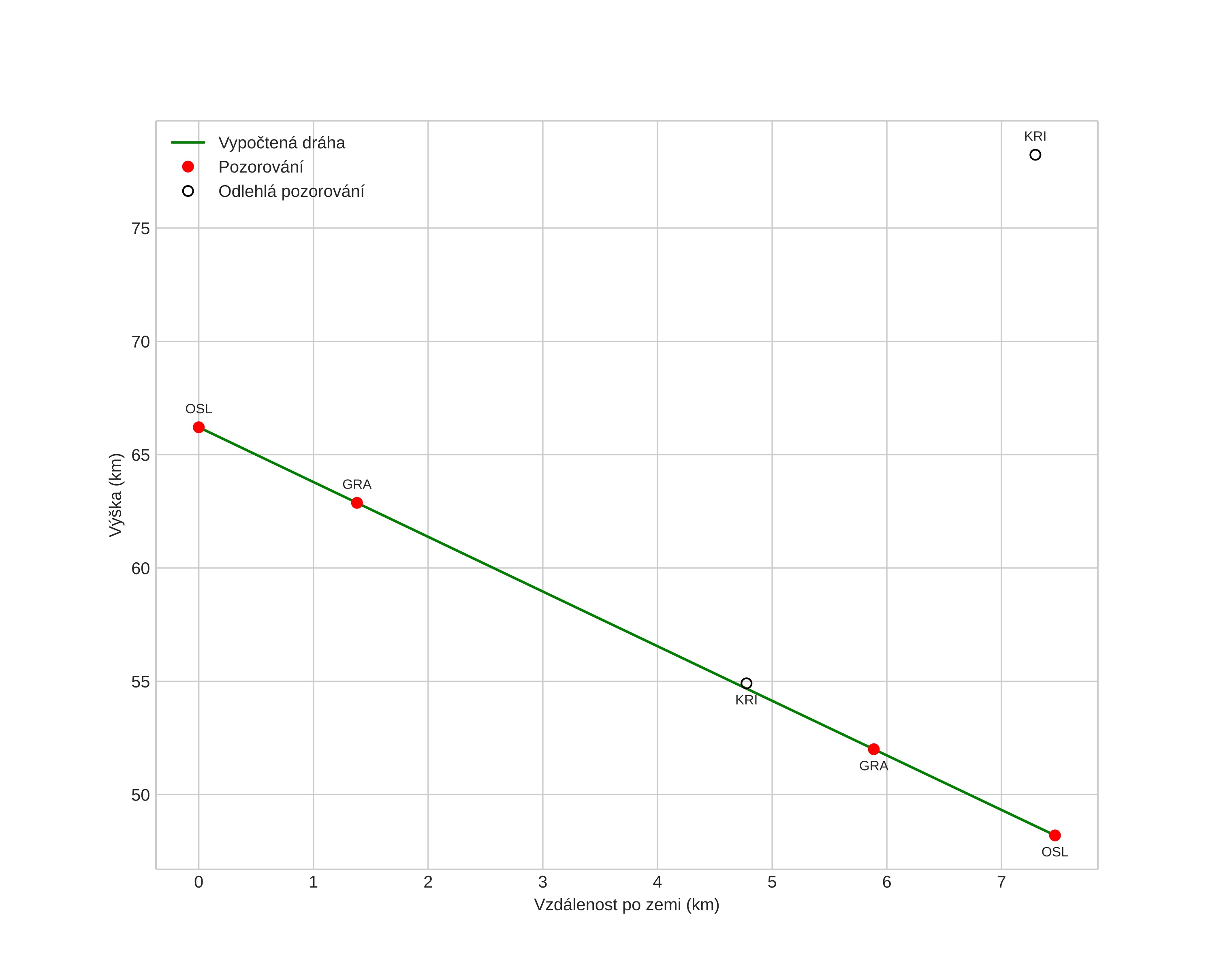
height profile
Atmosférická dráha meteoru:
Počáteční výška: 66,2 km
Konečná výška: 48,2 km
Počáteční poloha: 59,372N 8,405E
Konečná poloha: 59,431N 8,469E
Směr: 29,0°
Sklon: 67,5°
VstupnĂ­ rychlost: 18,8 km/s
Rektascenze radiantu: 18:27 (276,8°)
Deklinace radiantu: 36,0°
MeteorickĂ˝ roj: sporadickĂ˝
Elementy dráhy meteoroidu:
Vzdálenost v periheliu: 0,972 AU
Excentricita: 0,594
Sklon dráhy: 21,0°
Délka vzestupného uzlu: 138,4°
Argument perihelia: 207,1°
Střední anomálie: 354,3°
Epocha: 2016 AUG 10 21:37:41
orbit plot

NeinteraktivnĂ­ graf | InteraktivnĂ­ graf

position vs time
speed and acceleration