🇳🇴 🇬🇧 🇩🇪 🇨🇿 🇫🇮

Meteor, poloha: Sauda 2016-08-11 20:45:25 UTC

Soubor KML  |  InteraktivnĂ­ mapa

Mapa zobrazuje dráhy meteoru. Světlejší čáry ukazují směry od pozorovacích stanic při objevení se meteoru a tmavší čáry, kde byl naposledy viděn. Modrá šipka značí viditelnou dráhu meteoru.

static map
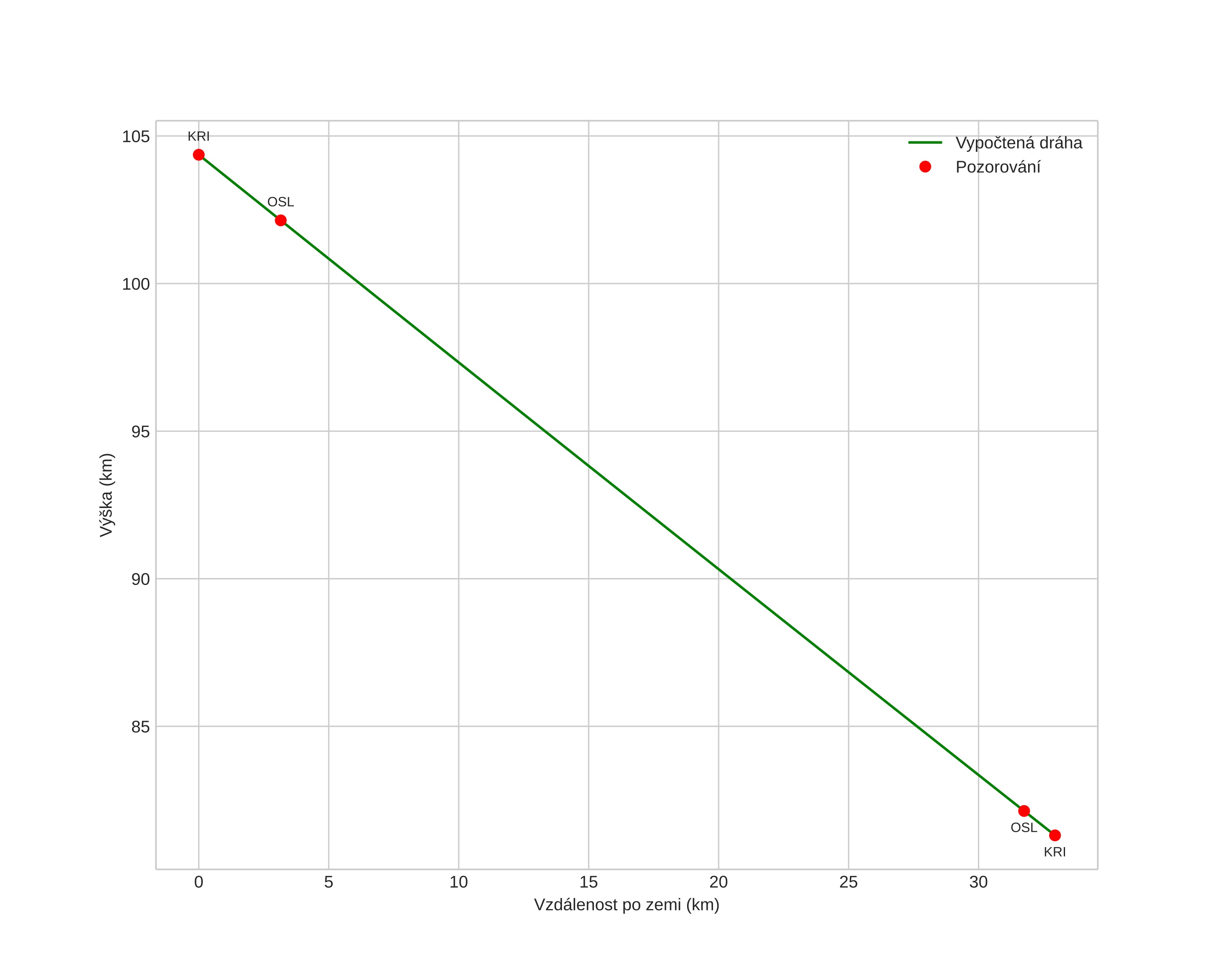
height profile
Atmosférická dráha meteoru:
Počáteční výška: 104,4 km
Konečná výška: 81,3 km
Počáteční poloha: 59,548N 7,066E
Konečná poloha: 59,295N 6,761E
Směr: 211,6°
Sklon: 35,0°
VstupnĂ­ rychlost: 58,9 km/s
Rektascenze radiantu: 03:01 (45,3°)
Deklinace radiantu: 57,7°
MeteorickĂ˝ roj: Perseidy
Elementy dráhy meteoroidu:
Vzdálenost v periheliu: 0,958 AU
Excentricita: 0,833
Sklon dráhy: 112,3°
Délka vzestupného uzlu: 139,4°
Argument perihelia: 151,5°
Střední anomálie: 1,5°
Epocha: 2016 AUG 11 20:45:25
orbit plot

NeinteraktivnĂ­ graf | InteraktivnĂ­ graf

position vs time
speed and acceleration

Kristiansand (KRI) cam4

fireball
gnomonic
Videa
• Gnomonická
• Gnomonická se souřadnicemi
Obrázky
• Gnomonická
• Gnomonická se souřadnicemi
• Gnomonická s popisky
• Původní
• Původní se souřadnicemi
• Původní s maskou
Textové soubory
• Detekce
• Pozorování
• Souřadnice
• Chybová hlášení
• Protokol
Jasnost