🇳🇴 🇬🇧 🇩🇪 🇨🇿 🇫🇮

Meteor, poloha: Søgne 2016-08-11 22:56:26 UTC

Soubor KML  |  InteraktivnĂ­ mapa

Mapa zobrazuje dráhy meteoru. Světlejší čáry ukazují směry od pozorovacích stanic při objevení se meteoru a tmavší čáry, kde byl naposledy viděn. Modrá šipka značí viditelnou dráhu meteoru.

static map
height profile
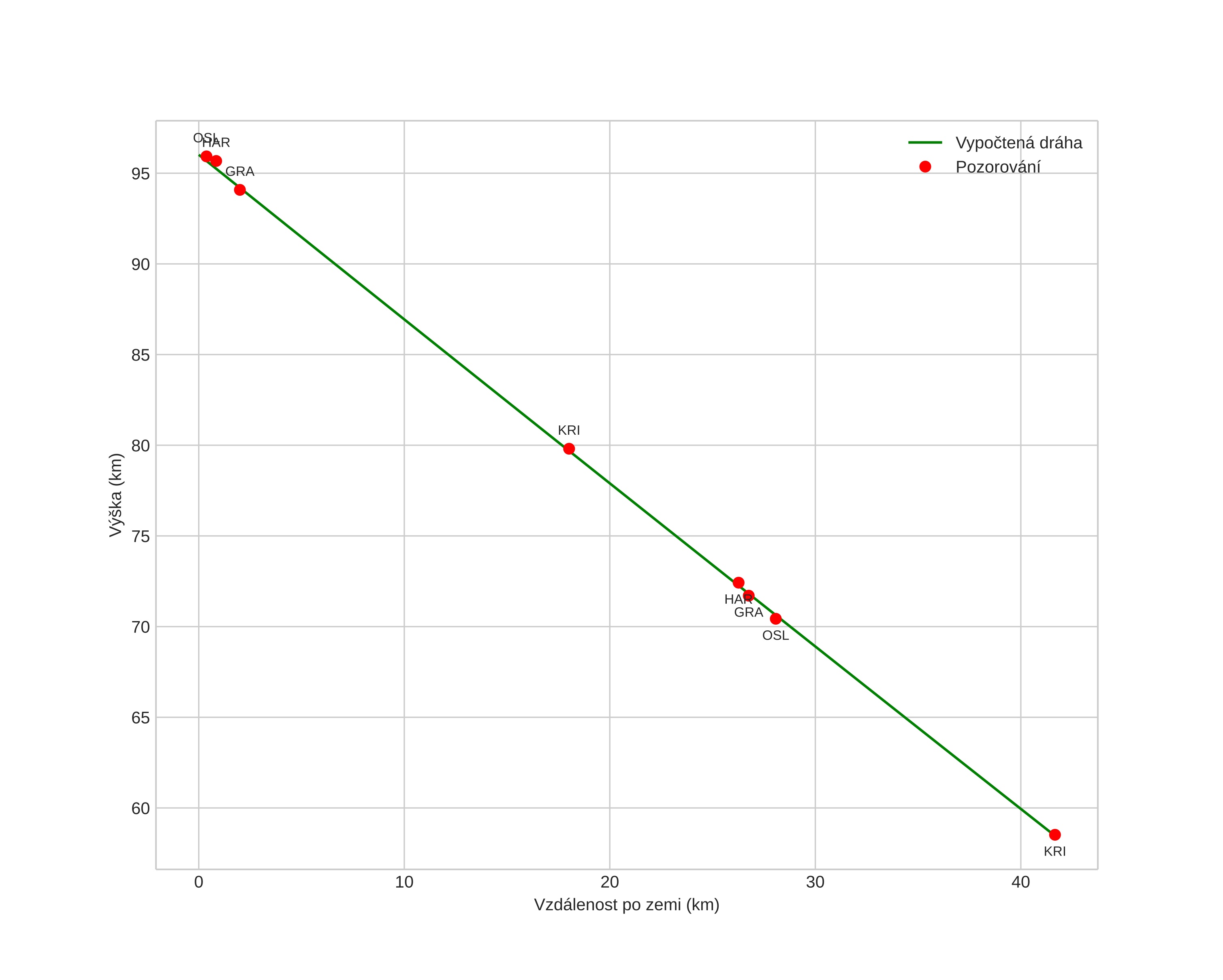
Atmosférická dráha meteoru:
Počáteční výška: 96,0 km
Konečná výška: 58,5 km
Počáteční poloha: 57,905N 8,216E
Konečná poloha: 57,650N 7,703E
Směr: 227,2°
Sklon: 42,0°
VstupnĂ­ rychlost: 57,6 km/s
Rektascenze radiantu: 03:23 (50,8°)
Deklinace radiantu: 56,4°
MeteorickĂ˝ roj: Perseidy
Elementy dráhy meteoroidu:
Vzdálenost v periheliu: 0,905 AU
Excentricita: 0,699
Sklon dráhy: 113,4°
Délka vzestupného uzlu: 139,5°
Argument perihelia: 137,8°
Střední anomálie: 5,8°
Epocha: 2016 AUG 11 22:56:26
orbit plot

NeinteraktivnĂ­ graf | InteraktivnĂ­ graf

position vs time
speed and acceleration