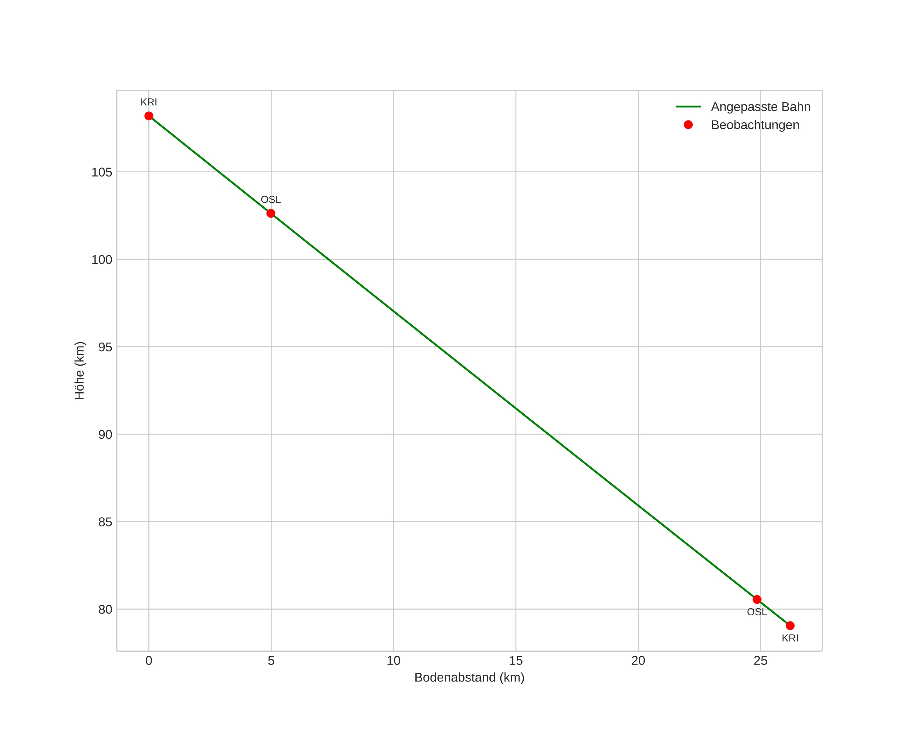
Atmosférická dráha meteoru:
| Počátečnà výška: | 108,2 km |
| Konečná výška: | 79,1 km |
| Počátečnà poloha: | 58,965N 5,962E |
| Konečná poloha: | 58,820N 5,602E |
| Směr: | 232,2° |
| Sklon: | 48,0° |
| VstupnĂ rychlost: | 61,1 km/s |
| Rektascenze radiantu: | 03:00 (45,1°) |
| Deklinace radiantu: | 57,9° |
| MeteorickĂ˝ roj: | Perseidy |
|
Elementy dráhy meteoroidu:
| Vzdálenost v periheliu: | 0,965 AU |
| Excentricita: | 1,018 |
| Sklon dráhy: | 113,5° |
| Délka vzestupného uzlu: | 139,5° |
| Argument perihelia: | 155,0° |
| Střednà anomálie: | 0,0° |
| Epocha: | 2016 AUG 11 23:27:14 |
|