🇳🇴 🇬🇧 🇩🇪 🇨🇿 🇫🇮

Meteor, poloha: Kleppe 2016-08-11 23:27:14 UTC

Soubor KML  |  InteraktivnĂ­ mapa

Mapa zobrazuje dráhy meteoru. Světlejší čáry ukazují směry od pozorovacích stanic při objevení se meteoru a tmavší čáry, kde byl naposledy viděn. Modrá šipka značí viditelnou dráhu meteoru.

static map
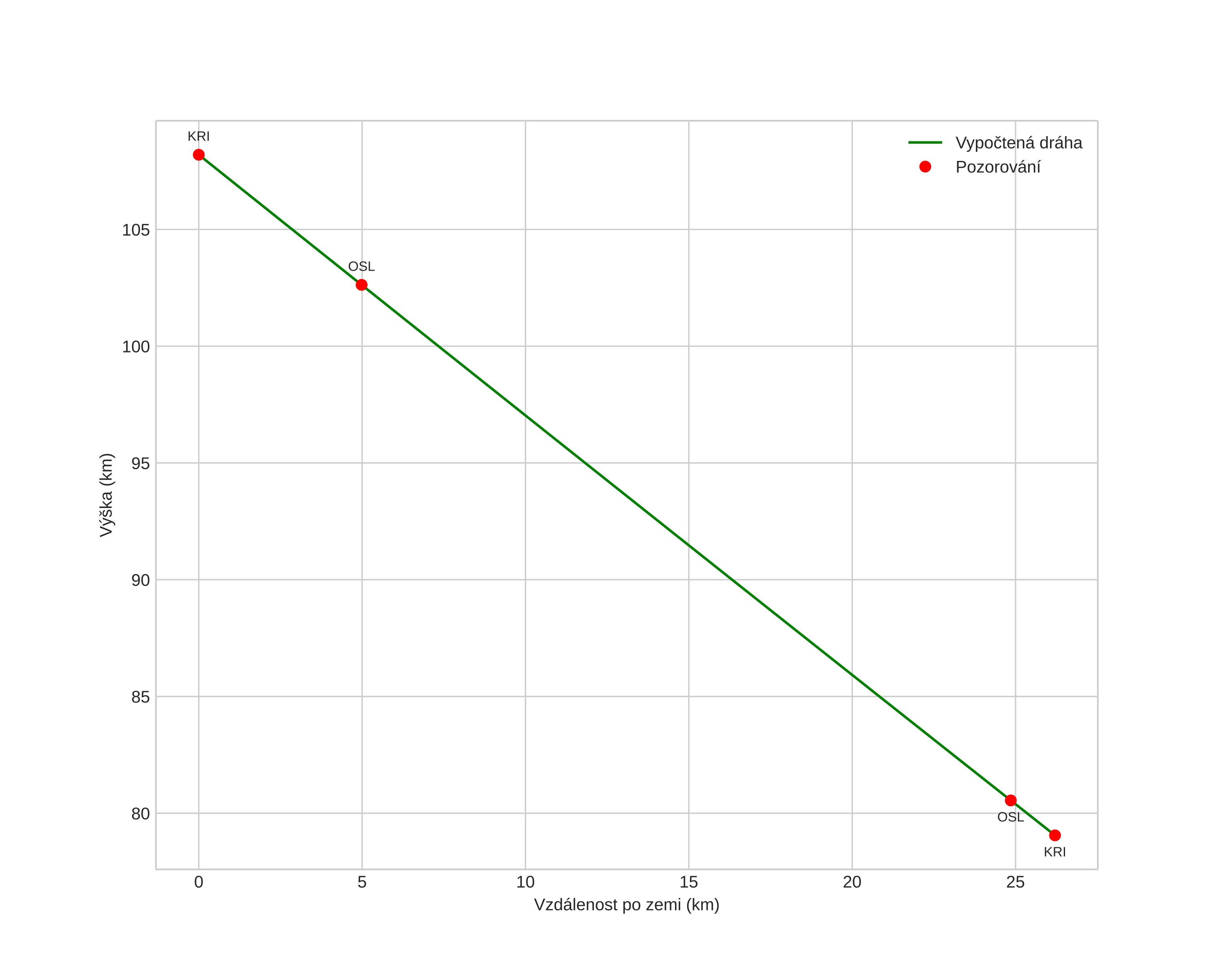
height profile
Atmosférická dráha meteoru:
Počáteční výška: 108,2 km
Konečná výška: 79,1 km
Počáteční poloha: 58,965N 5,962E
Konečná poloha: 58,820N 5,602E
Směr: 232,2°
Sklon: 48,0°
VstupnĂ­ rychlost: 61,1 km/s
Rektascenze radiantu: 03:00 (45,1°)
Deklinace radiantu: 57,9°
MeteorickĂ˝ roj: Perseidy
Elementy dráhy meteoroidu:
Vzdálenost v periheliu: 0,965 AU
Excentricita: 1,018
Sklon dráhy: 113,5°
Délka vzestupného uzlu: 139,5°
Argument perihelia: 155,0°
Střední anomálie: 0,0°
Epocha: 2016 AUG 11 23:27:14
orbit plot

NeinteraktivnĂ­ graf | InteraktivnĂ­ graf

position vs time
speed and acceleration