🇳🇴 🇬🇧 🇩🇪 🇨🇿 🇫🇮

Meteor, poloha: Prestestranda 2016-08-12 00:01:41 UTC

Soubor KML  |  InteraktivnĂ­ mapa

Mapa zobrazuje dráhy meteoru. Světlejší čáry ukazují směry od pozorovacích stanic při objevení se meteoru a tmavší čáry, kde byl naposledy viděn. Modrá šipka značí viditelnou dráhu meteoru.

static map
height profile
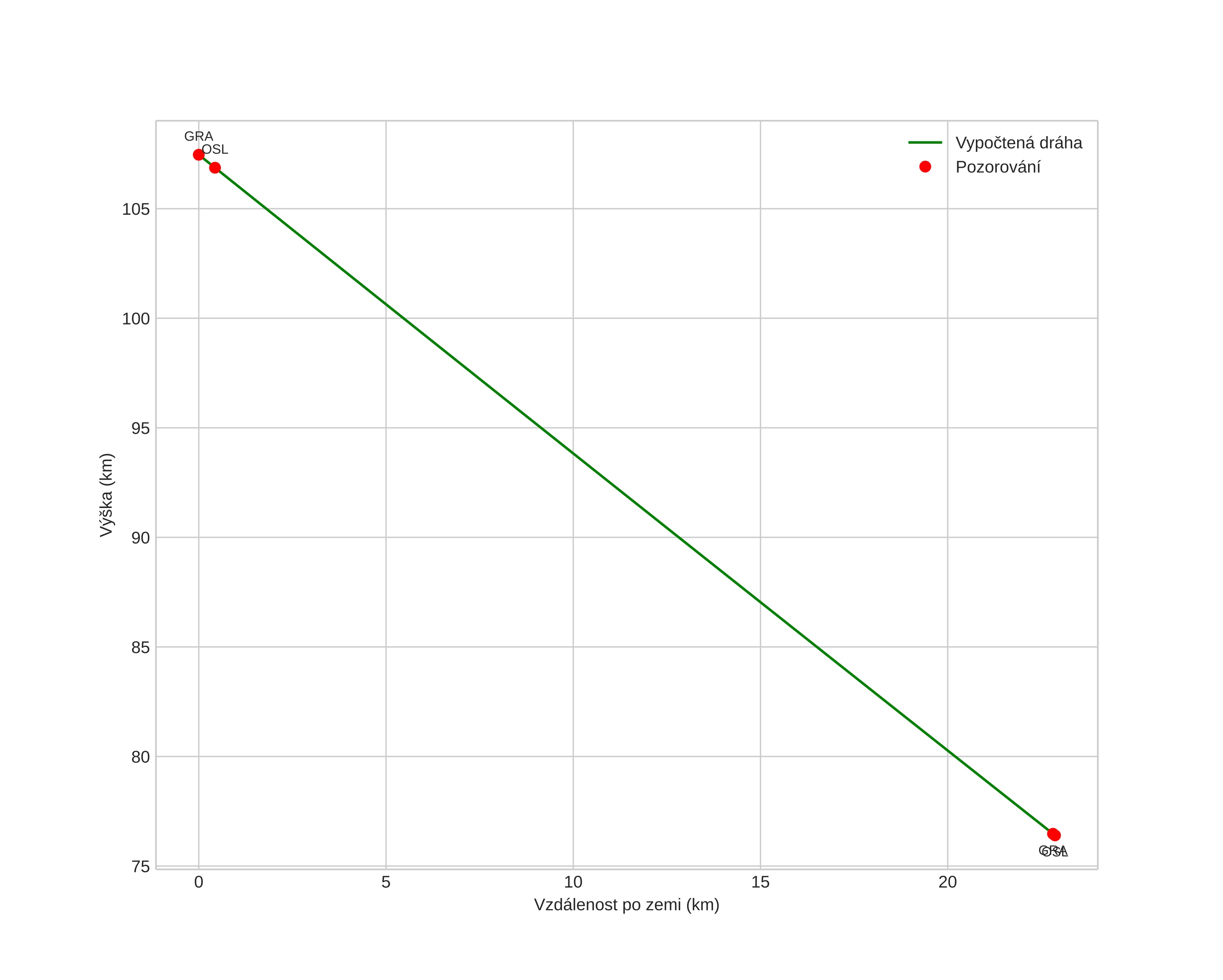
Atmosférická dráha meteoru:
Počáteční výška: 107,5 km
Konečná výška: 76,4 km
Počáteční poloha: 59,218N 9,467E
Konečná poloha: 59,111N 9,124E
Směr: 238,7°
Sklon: 53,7°
VstupnĂ­ rychlost: 57,9 km/s
Rektascenze radiantu: 02:57 (44,3°)
Deklinace radiantu: 58,0°
MeteorickĂ˝ roj: Perseidy
Elementy dráhy meteoroidu:
Vzdálenost v periheliu: 0,961 AU
Excentricita: 0,770
Sklon dráhy: 111,0°
Délka vzestupného uzlu: 139,5°
Argument perihelia: 151,9°
Střední anomálie: 2,4°
Epocha: 2016 AUG 12 00:01:41
orbit plot

NeinteraktivnĂ­ graf | InteraktivnĂ­ graf

position vs time
speed and acceleration